Quảng cáo
2 câu trả lời 1432
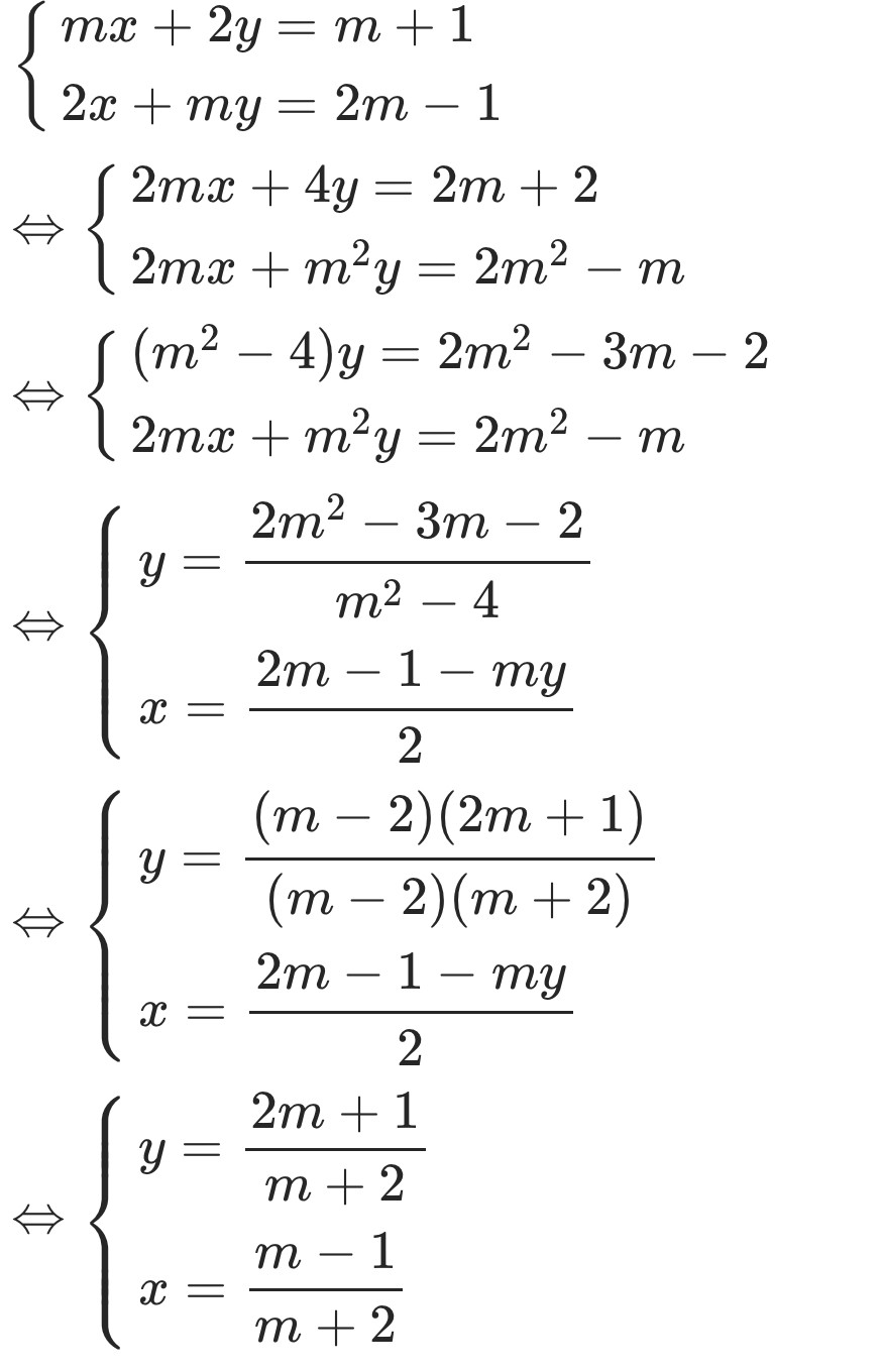
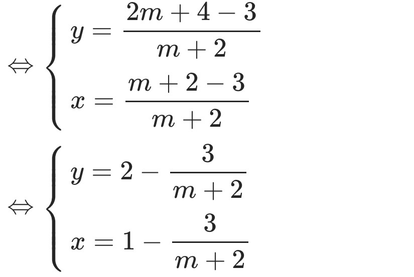
2,
Ta có:


Để phương trình có nghiệm (x;y) nguyên
⇒(m+2)∈Ư(3)
⇒m∈{−5;−3;−1;1}
a: Phương trình hoành độ giao điểm là:
x2=2mx−m2+4�2=2��−�2+4
=>x2−2mx+m2−4=0�2−2��+�2−4=0
Δ=(−2m)2−4(m2−4)=4m2−4m2+16=16>0Δ=(−2�)2−4(�2−4)=4�2−4�2+16=16>0
=>(P) luôn cắt (d) tại hai điểm phân biệt
b: Theo Vi-et, ta có: {x1+x2=2mx1x2=m2−4{�1+�2=2��1�2=�2−4
Sửa đề: x21−3x1+x22−3x2=4�12−3�1+�22−3�2=4
=>(x21+x22)−3(x1+x2)=4(�12+�22)−3(�1+�2)=4
=>(x1+x2)2−2x1x2−3(x1+x2)=4(�1+�2)2−2�1�2−3(�1+�2)=4
=>(2m)2−2⋅(m2−4)−3⋅2m=4(2�)2−2⋅(�2−4)−3⋅2�=4
=>4m2−2m2+8−6m−4=04�2−2�2+8−6�−4=0
=>2m2−6m+4=02�2−6�+4=0
=>m2−3m+2=0�2−3�+2=0
=>(m-1)(m-2)=0
=>[m−1=0m−2=0⇔[m=1m=2
Quảng cáo
Bạn cần hỏi gì?
Câu hỏi hot cùng chủ đề
-
Đã trả lời bởi chuyên gia
105806 -
Hỏi từ APP VIETJACK
Đã trả lời bởi chuyên gia
70443 -
Đã trả lời bởi chuyên gia
58670 -
Đã trả lời bởi chuyên gia
50654 -
Đã trả lời bởi chuyên gia
48716 -
Đã trả lời bởi chuyên gia
38276 -
Đã trả lời bởi chuyên gia
38092
