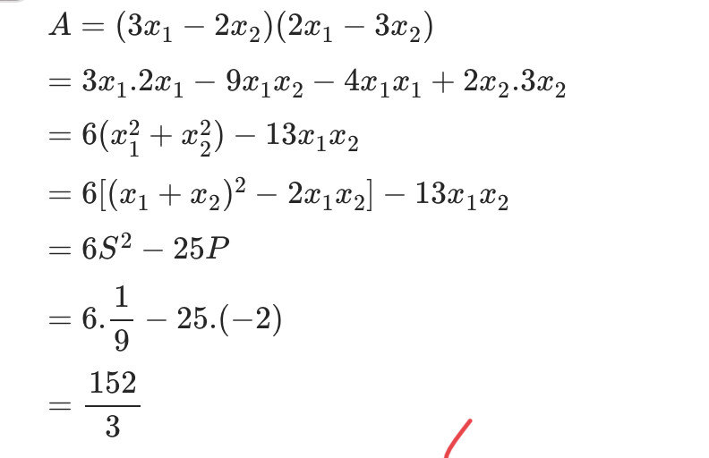
A=(3x1-2x2)(3x2-2x1)-2023
Quảng cáo
2 câu trả lời 896
Quảng cáo
Bạn cần hỏi gì?
Câu hỏi hot cùng chủ đề
-
Đã trả lời bởi chuyên gia
103520 -
Hỏi từ APP VIETJACK
Đã trả lời bởi chuyên gia
68861 -
Đã trả lời bởi chuyên gia
56682 -
Đã trả lời bởi chuyên gia
47564 -
Đã trả lời bởi chuyên gia
44351 -
Đã trả lời bởi chuyên gia
36876 -
Đã trả lời bởi chuyên gia
35387
Gửi báo cáo thành công!
