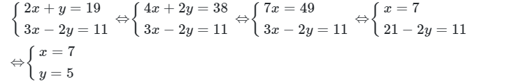
Bài này làm như nào ạ?
Quảng cáo
3 câu trả lời 242
2 năm trước
Theo bài thì mình đã học được làm như sau
9 là căn bậc x
8 là số tự nhiên của y
còn 1 được gọi là e
Vậy mẫu của bài toán của bạn như sau
-9-x=7
y-1+2
=9/8
Quảng cáo
Bạn muốn hỏi bài tập?
Câu hỏi hot cùng chủ đề
-
Đã trả lời bởi chuyên gia
103520 -
Hỏi từ APP VIETJACK
Đã trả lời bởi chuyên gia
68861 -
Đã trả lời bởi chuyên gia
56682 -
Đã trả lời bởi chuyên gia
47564 -
Đã trả lời bởi chuyên gia
44351 -
Đã trả lời bởi chuyên gia
36876 -
Đã trả lời bởi chuyên gia
35387
Gửi báo cáo thành công!

