Thị Mỹ Linh Bùi
Hỏi từ APP VIETJACK
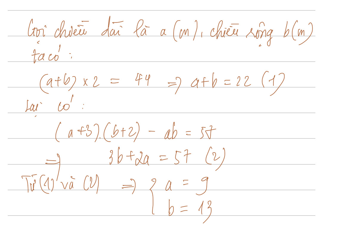
Một mảnh vườn hcn có chu vi 44m. Nếu tăng chiều dài thêm 3m và chiều rộng 2m thì diện tích tăng thêm 57m vuông. Tính chiều dài và chiều rộng của mảnh vườn đã cho.
Quảng cáo
2 câu trả lời 393
Quảng cáo
Bạn muốn hỏi bài tập?
Câu hỏi hot cùng chủ đề
-
103437
-
Hỏi từ APP VIETJACK68807
-
56608
-
47524
-
44249
-
36842
-
35274
Gửi báo cáo thành công!
