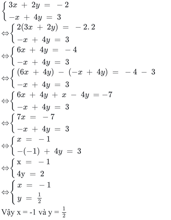
Câu 1: giả các hệ phương trình sau:3x+2y =-2 ;-x+4y=3
Quảng cáo
3 câu trả lời 251
Quảng cáo
Bạn cần hỏi gì?
Câu hỏi hot cùng chủ đề
-
Đã trả lời bởi chuyên gia
103520 -
Hỏi từ APP VIETJACK
Đã trả lời bởi chuyên gia
68861 -
Đã trả lời bởi chuyên gia
56682 -
Đã trả lời bởi chuyên gia
47564 -
Đã trả lời bởi chuyên gia
44351 -
Đã trả lời bởi chuyên gia
36876 -
Đã trả lời bởi chuyên gia
35387
Gửi báo cáo thành công!
