Tìm x: (6x+1)^2−(x+1)^2=0
Quảng cáo
3 câu trả lời 274
3 năm trước
#Pham Vinh Phu
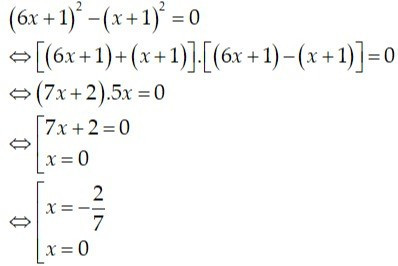
\((6x+1)^2 - (x+1)^2 = 0\)
\(\Leftrightarrow [(6x+1)-(x+1)][(6x+1)+(x+1)] = 0\)
\(\Leftrightarrow (6x+1-x-1)(6x+1+x+1)=0\)
\(\Leftrightarrow 5x(7x+2)=0\)
\(\Leftrightarrow 5x = 0\) hoặc \(7x+2 = 0\)
\(\Leftrightarrow x = 0\) hoặc \(x = -\dfrac27\)
Vậy \(x \in \left\{0;-\dfrac27\right\}\)
Áp dụng:
\(\diamond \; a^2-b^2 = (a-b)(a+b)\)
Quảng cáo
Bạn cần hỏi gì?
Câu hỏi hot cùng chủ đề
-
107437
-
Hỏi từ APP VIETJACK
Đã trả lời bởi chuyên gia
68061 -
Đã trả lời bởi chuyên gia
52846 -
Đã trả lời bởi chuyên gia
47344 -
Đã trả lời bởi chuyên gia
45400 -
Đã trả lời bởi chuyên gia
45045 -
Hỏi từ APP VIETJACK
Đã trả lời bởi chuyên gia
38412 -
Đã trả lời bởi chuyên gia
38191
Gửi báo cáo thành công!

cap