diem hoangthingoc
· 2 năm trước
A=1/2-1/2+1/3+1/4+....+1/99-1/100
Quảng cáo
2 câu trả lời 18965
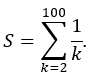
Bước 1: Dạng tổng quát của dãy số
Dãy số có dạng:

Bước 2: Phân tích và cách tính xấp xỉ
Tổng S là một phần của tổng các số hạng của dãy **Harmonic**:

Trong trường hợp này, ta không tính từ k = 1, mà bắt đầu từ k = 1. Do đó:
![]()
với H100 là tổng các số hạng của dãy Harmonic từ 1 đến 100.
Bước 3: Xấp xỉ tổng Harmonic
Tổng Harmonic Hn có công thức xấp xỉ:
![]()
trong đó:
- n là số hạng cuối cùng của dãy,
- Inn là logarit tự nhiên của ,
- là hằng số Euler-Mascheroni.
Với n = 100, ta có:
![]()
Tính In100:
![]()
Do đó:
![]()
—
Bước 4: Tính tổng S
Từ S = H100 -1, ta được:
![]()
—
Kết luận:
Tổng
xấp xỉ bằng:
![]()
=1+1/2+1/3+1/4+.......+1/100
Ta đổi A=2-1+1-1/2+1/2-1/3+1/3-1/4+1/4-1/5+......+1/99-1/100
A=2-1/100(loại bỏ 1+1,1/2+1/2,....,1/98-1/99)
A=99/100
Quảng cáo
Bạn cần hỏi gì?
Câu hỏi hot cùng chủ đề
-
107593
-
Hỏi từ APP VIETJACK
Đã trả lời bởi chuyên gia
68300 -
Đã trả lời bởi chuyên gia
52884 -
Đã trả lời bởi chuyên gia
47390 -
Đã trả lời bởi chuyên gia
45461 -
Đã trả lời bởi chuyên gia
45109 -
Hỏi từ APP VIETJACK
Đã trả lời bởi chuyên gia
38488 -
Đã trả lời bởi chuyên gia
38230
Gửi báo cáo thành công!
