Phân tích đa thức sau thành nhân tử:
a) x^3+5x^2+6x
b) 8x^2 - 2
a) x^3+5x^2+6x
b) 8x^2 - 2
Quảng cáo
3 câu trả lời 335
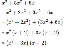
\[\begin{array}{l}
a){x^3} + 5{x^2} + 6x\\
= x\left( {{x^2} + 5{\rm{x}} + 6} \right)\\
= x\left( {{x^2} + 2{\rm{x}} + 3{\rm{x}} + 6} \right)\\
= x\left[ {x\left( {x + 2} \right) + 3\left( {x + 2} \right)} \right]\\
= x\left( {x + 2} \right)\left( {x + 3} \right)\\
b)8{x^2} - 2\\
= 2\left( {4{{\rm{x}}^2} - 1} \right)\\
= 2\left( {2{\rm{x}} - 1} \right)\left( {2{\rm{x}} + 1} \right)
\end{array}\]
Quảng cáo
Bạn cần hỏi gì?
Câu hỏi hot cùng chủ đề
-
112247
-
Hỏi từ APP VIETJACK
Đã trả lời bởi chuyên gia
72846 -
Đã trả lời bởi chuyên gia
54086 -
Đã trả lời bởi chuyên gia
48368 -
Đã trả lời bởi chuyên gia
47281 -
Đã trả lời bởi chuyên gia
46585 -
Hỏi từ APP VIETJACK
Đã trả lời bởi chuyên gia
41265 -
Đã trả lời bởi chuyên gia
39282
Gửi báo cáo thành công!

.