Nguyễn Mai Linh
Hỏi từ APP VIETJACK
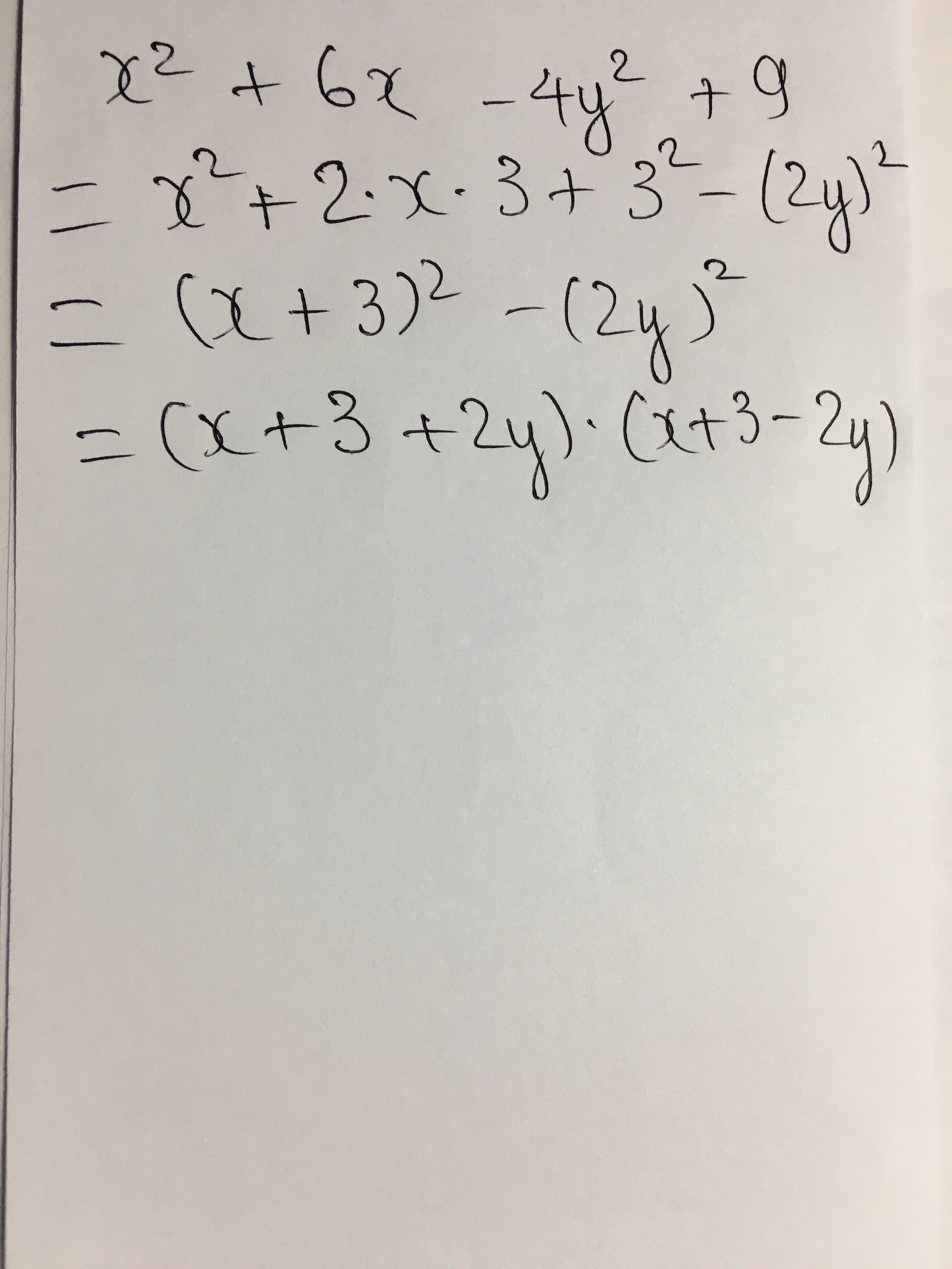
Phân tích các đa thức thành nhân tử: x ^ 2 + 6x - 4y ^ 2 + 9
Quảng cáo
1 câu trả lời 4063
Quảng cáo
Bạn muốn hỏi bài tập?
Câu hỏi hot cùng chủ đề
-
107278
-
Hỏi từ APP VIETJACK67830
-
44998
-
38171
Gửi báo cáo thành công!

