Quảng cáo
3 câu trả lời 4122
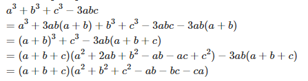
\[\begin{array}{l}
\left( {a + b + c} \right).{\rm{ }}\left( {{a^2} + {b^2} + {c^2} - ab - bc - ca} \right) = {a^3} + {b^3} + {c^3} - 3abc\\
xet:\\
VT = \left( {a + b + c} \right).{\rm{ }}\left( {{a^2} + {b^2} + {c^2} - ab - bc - ca} \right)\\
= {a^3} + a{b^2} + a{c^2} - {a^2}b - abc - {a^2}c + {a^2}b + {b^3} + b{c^2} - a{b^2} - {b^2}c - abc + {a^2}c + {b^2}c + {c^3} - abc - b{c^2} - a{c^2}\\
= {a^3} + {b^3} + {c^3} - 3abc = VP\\
vay:\left( {a + b + c} \right).{\rm{ }}\left( {{a^2} + {b^2} + {c^2} - ab - bc - ca} \right) = {a^3} + {b^3} + {c^3} - 3abc
\end{array}\]
(a+b+c).(a2+b2+c2−ab−bc−ca)=a3+b3+c3−3abcxet:VT=(a+b+c).(a2+b2+c2−ab−bc−ca)=a3+ab2+ac2−a2b−abc−a2c+a2b+b3+bc2−ab2−b2c−abc+a2c+b2c+c3−abc−bc2−ac2=a3+b3+c3−3abc=VPvay:(a+b+c).(a2+b2+c2−ab−bc−ca)=a3+b3+c3−3abc
Quảng cáo
Bạn cần hỏi gì?
Câu hỏi hot cùng chủ đề
-
107437
-
Hỏi từ APP VIETJACK
Đã trả lời bởi chuyên gia
68061 -
Đã trả lời bởi chuyên gia
52846 -
Đã trả lời bởi chuyên gia
47344 -
Đã trả lời bởi chuyên gia
45400 -
Đã trả lời bởi chuyên gia
45045 -
Hỏi từ APP VIETJACK
Đã trả lời bởi chuyên gia
38412 -
Đã trả lời bởi chuyên gia
38191

