Diệu Hương
Hỏi từ APP VIETJACK
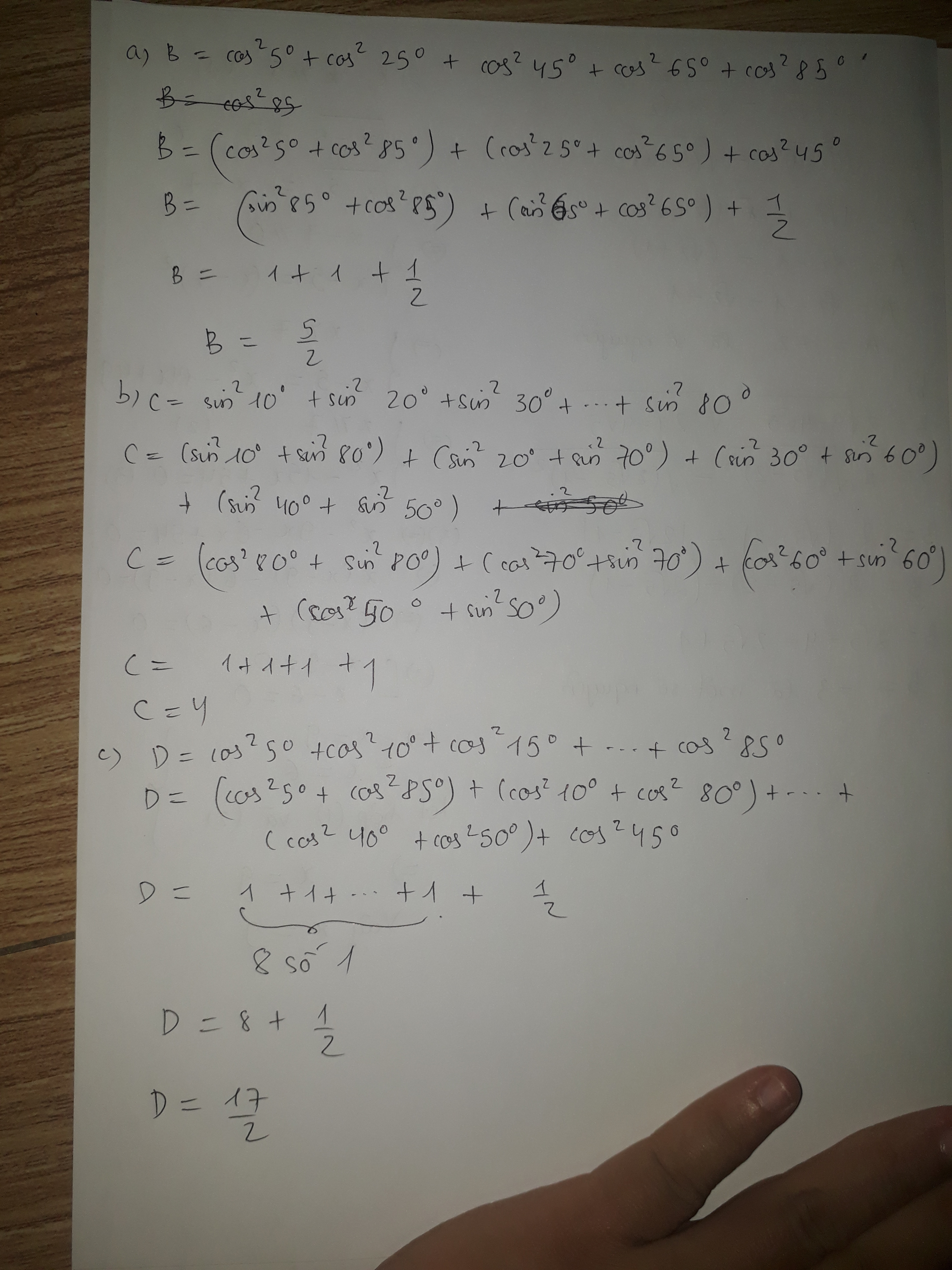
Tính: B=cos^2 5 độ + cos^2 25 độ + có^2 45 độ cos^2 65 độ + cos ^2 85. C= sin^2 10 độ +sin^2 20 độ+sin ^2 30độ+...+ sin^2 80 độ. Đ= cos^2 5 độ + cos^2 10 độ+cos^2 15 độ +...+ cos^2 85 độ👑
Quảng cáo
1 câu trả lời 3596
Quảng cáo
Bạn muốn hỏi bài tập?
Câu hỏi hot cùng chủ đề
-
103349
-
Hỏi từ APP VIETJACK68744
-
56565
-
47490
-
44183
-
36818
-
35211
Gửi báo cáo thành công!

