Ngân Nguyễn
Hỏi từ APP VIETJACK
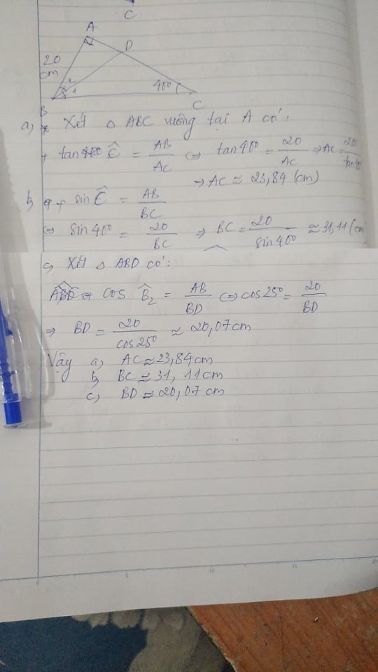
Am giác ABC vuông tại A có AB=20cm, góc C= 40 độ. Hãy tính độ dài:
a) AC
b)BC
c) Phân giác BD
Quảng cáo
1 câu trả lời 1442
Quảng cáo
Bạn muốn hỏi bài tập?
Câu hỏi hot cùng chủ đề
-
103437
-
Hỏi từ APP VIETJACK68807
-
56608
-
47524
-
44249
-
36842
-
35274
Gửi báo cáo thành công!

