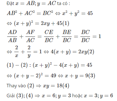
Bài 1: Cho tam giác ABC vuông tại A, BC = 5 căn 2cm. Hình vuông ADEF cạnh 2cm có D thuộc AB, E thuộc BC, F thuộc AC. Tính các độ dài AC, AB.
Quảng cáo
1 câu trả lời 1297
Quảng cáo
Bạn cần hỏi gì?
Câu hỏi hot cùng chủ đề
-
Đã trả lời bởi chuyên gia
103643 -
Hỏi từ APP VIETJACK
Đã trả lời bởi chuyên gia
68927 -
Đã trả lời bởi chuyên gia
56777 -
Đã trả lời bởi chuyên gia
47628 -
Đã trả lời bởi chuyên gia
44434 -
Đã trả lời bởi chuyên gia
36922 -
Đã trả lời bởi chuyên gia
35490
Gửi báo cáo thành công!


