Tìm x, biết:
và -3x + 5y = 33
Quảng cáo
6 câu trả lời 598
\[\begin{array}{l}
\frac{x}{y} = \frac{3}{4}\\
dk:y \ne 0\\
= > \frac{x}{3} = \frac{y}{4}\\
= > \frac{{ - 3x}}{{ - 9}} = \frac{{5y}}{{20}}
\end{array}\]
Áp dụng tính chất dãy tí số bằng nhau:
\[\begin{array}{l}
= > \frac{{ - 3x}}{{ - 9}} = \frac{{5y}}{{20}} = \frac{{ - 3x + 5y}}{{ - 9 + 20}} = \frac{{33}}{{11}} = 3\\
- 3x{\rm{ }} + {\rm{ }}5y{\rm{ }} = {\rm{ }}33\\
\frac{{ - 3x}}{{ - 9}} = 3 = > x = 9\\
\frac{{5y}}{{20}} = 3 = > y = 12
\end{array}\]
Vậy (x;y)=(9;12)
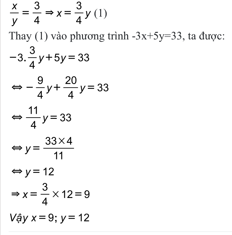
Ta có :
x/y= 3/4
--> x= 3y/4
Thay vào -3x+5y =33 ta được:
-3. (3y/4) +5y =33
--> -9y/4+5y =33
--> 11y/4=33
--> y =4x33/11=12
--> x= 3y/4= 3x12/4=9
Vậy x=9, y=12
Ta có :
x/y= 3/4
--> x= 3y/4
Thay vào -3x+5y =33 ta được:
-3. (3y/4) +5y =33
--> -9y/4+5y =33
--> 11y/4=33
--> y =4x33/11=12
--> x= 3y/4= 3x12/4=9
Vậy x=9, y=12
Quảng cáo
Bạn cần hỏi gì?
Câu hỏi hot cùng chủ đề
-
Hỏi từ APP VIETJACK120962
-
Đã trả lời bởi chuyên gia
81713 -
Đã trả lời bởi chuyên gia
59651 -
Đã trả lời bởi chuyên gia
39669

.
