Nghĩa Trung
· 4 năm trước
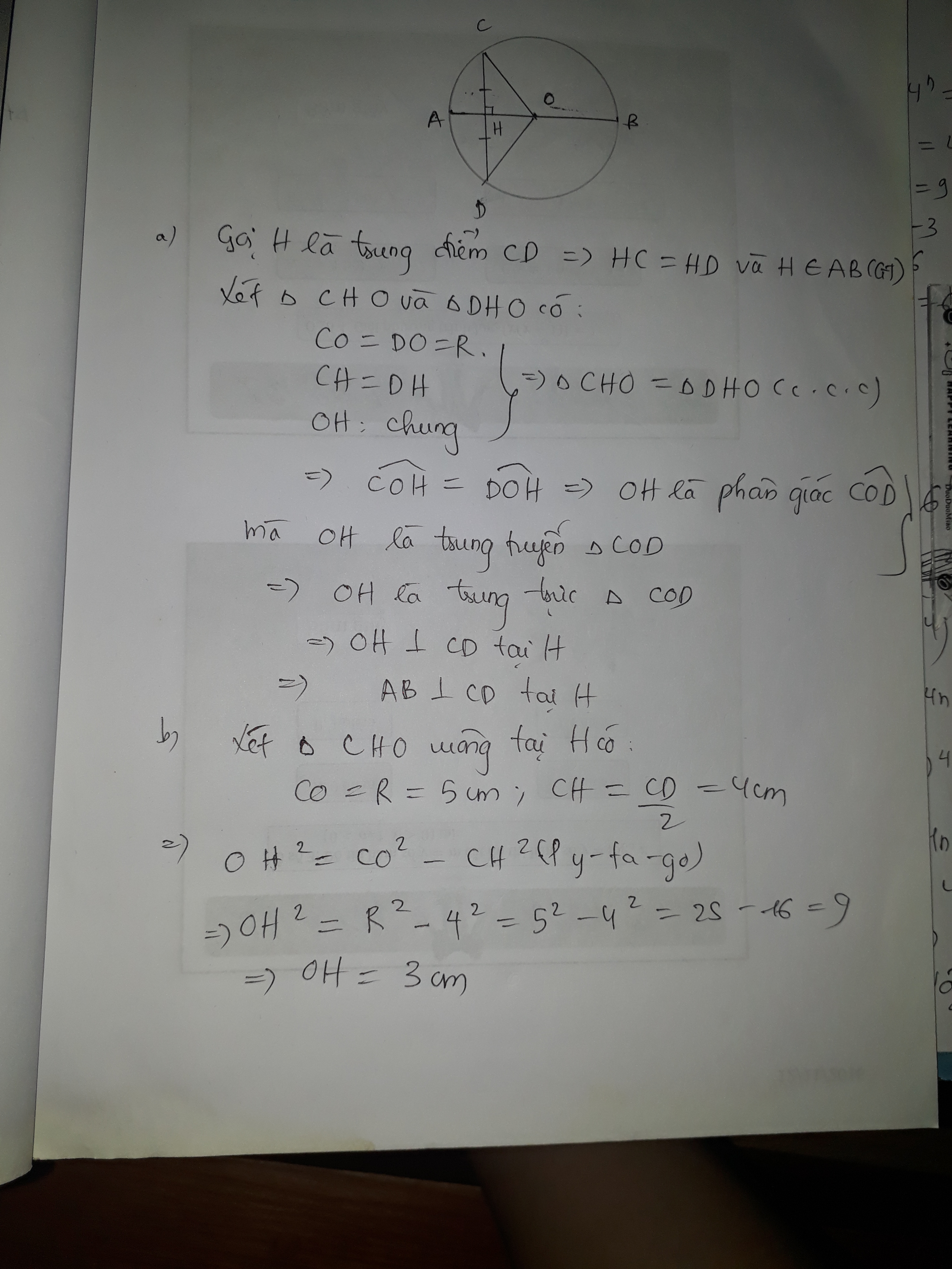
Cho (O; R) đường kính AB đi qua trung điểm I của dây CD. (CD không qua O). Chứng minh rằng AB vuông góc với CD.
Quảng cáo
1 câu trả lời 5975
Quảng cáo
Bạn muốn hỏi bài tập?
Câu hỏi hot cùng chủ đề
-
103437
-
Hỏi từ APP VIETJACK68807
-
56608
-
47524
-
44249
-
36842
-
35274
Gửi báo cáo thành công!

