Rosy Clara
Hỏi từ APP VIETJACK
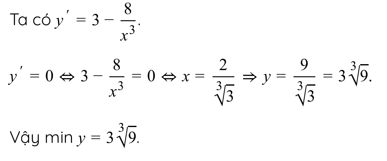
Tìm giá trị nhỏ nhất m của hàm số: y =(3x) + 4/x mũ 2 trên khoảng (0, dương vô cùng)
Quảng cáo
2 câu trả lời 12011
4 năm trước
Nhi Ng
· 2 năm trước
Cho e hỏi là chỗ 4/x mũ 2 đạo hàm sao cho ra 8/x mũ 3 v ạ
lom chemchem
· 1 năm trước
Cho e hỏi là chỗ 4/x mũ 2 đạo hàm sao cho ra 8/x mũ 3 v ạ
Quảng cáo
Bạn muốn hỏi bài tập?
Câu hỏi hot cùng chủ đề
Gửi báo cáo thành công!


