Rút gọn phân số
a) A= (x/x^2-36 - x-6/x^2+6x) : 2x-6/x^2+6x + x/6-x
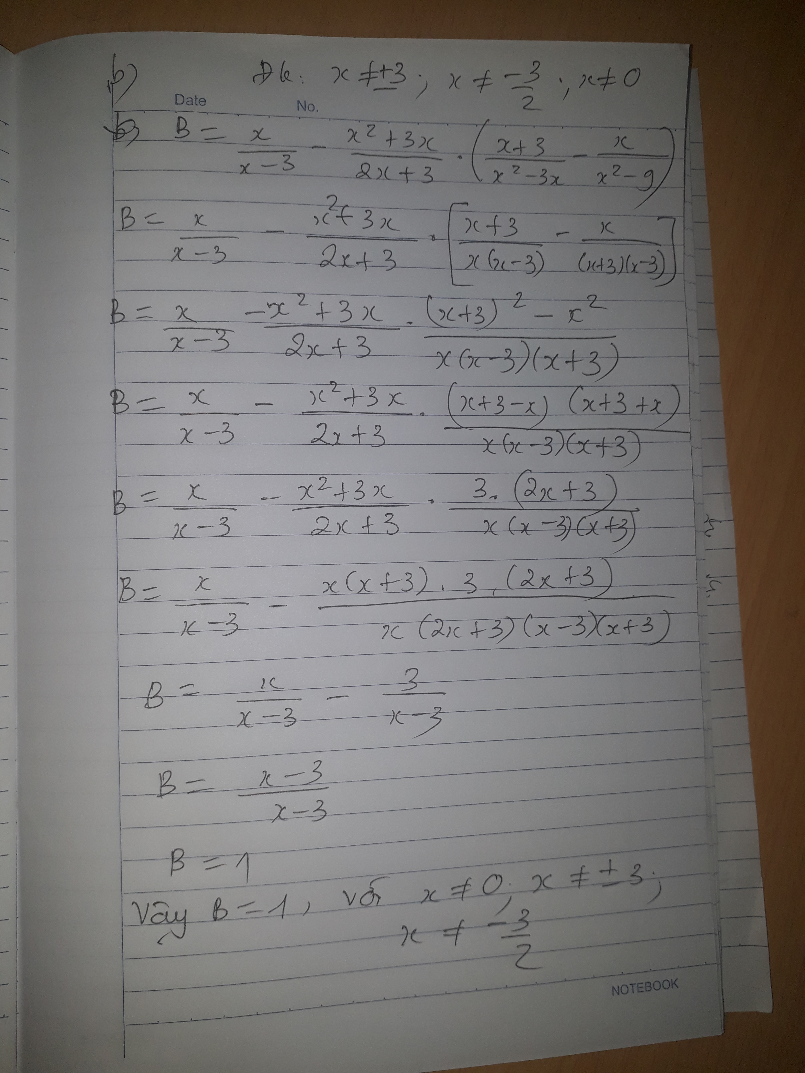
b) B= x/x-3 - x^2+3x/2x+3 . ( x+3/x^2-3x - x/x^2-9)
Quảng cáo
1 câu trả lời 1902
Quảng cáo
Bạn muốn hỏi bài tập?
Câu hỏi hot cùng chủ đề
-
103437
-
Hỏi từ APP VIETJACK68807
-
56608
-
47524
-
44249
-
36842
-
35274
Gửi báo cáo thành công!


