Chọn những đáp án đúng (Chọn được nhiều đáp án)
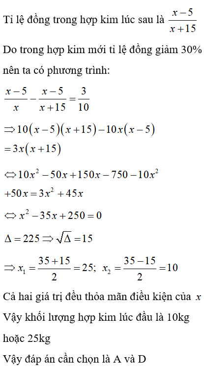
Một hợp kim gồm đồng và kẽm, trong đó có 5 kg kẽm. Nếu thêm 15kg kẽm vào hợp kim này thì ta được hợp kim mới. Kết quả trong hợp kim mới tỉ lệ đồng giảm 30%. Khối lượng ban đầu của hợp kim là:
A. 10 kg
B. 15 kg
C. 20 kg
D. 25 kg
Quảng cáo
2 câu trả lời 5487
4 năm trước
Chọn những đáp án đúng (Chọn được nhiều đáp án)
Một hợp kim gồm đồng và kẽm, trong đó có 5 kg kẽm. Nếu thêm 15kg kẽm vào hợp kim này thì ta được hợp kim mới. Kết quả trong hợp kim mới tỉ lệ đồng giảm 30%. Khối lượng ban đầu của hợp kim là:
A. 10 kg
B. 15 kg
C. 20 kg
D. 25 kg
#Doan:)
Quảng cáo
Bạn muốn hỏi bài tập?
Câu hỏi hot cùng chủ đề
-
103349
-
Hỏi từ APP VIETJACK68744
-
56565
-
47490
-
44183
-
36818
-
35211
Gửi báo cáo thành công!


