Quảng cáo
2 câu trả lời 670
4 năm trước
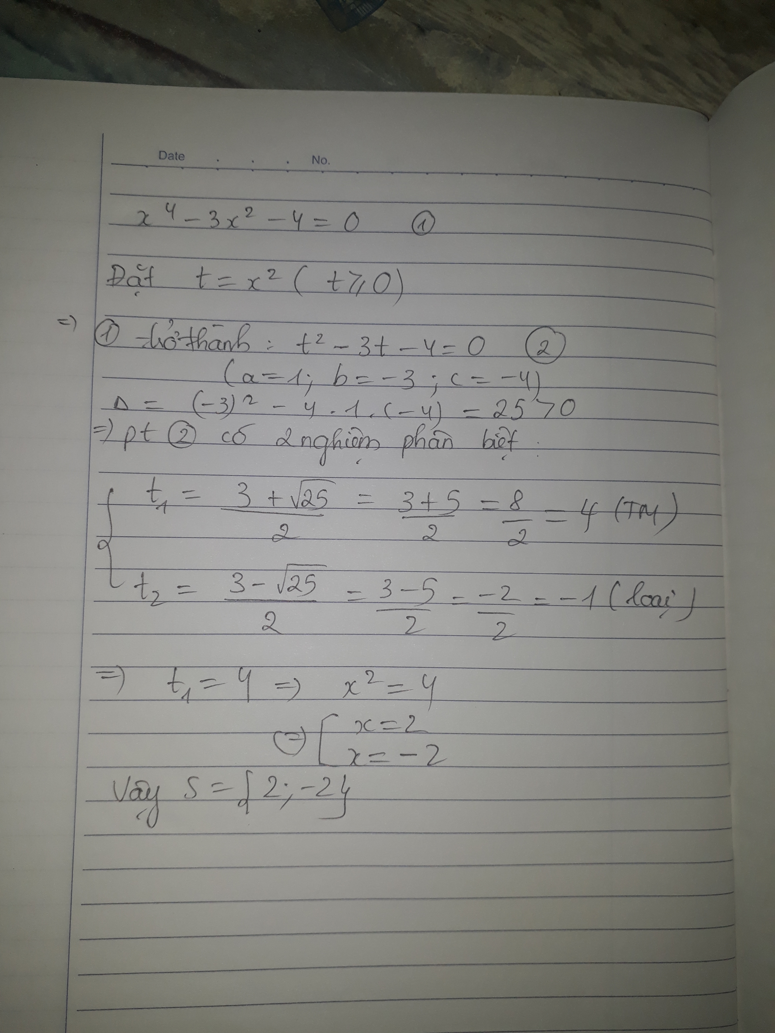
x^4-3x^2-4=0
x^4-4x^2+x^2-4=0
x^4+x^2-4x^2-4=0
x^2(x^2+1)-4(x^2+1)=0
(x^2-4)(x^2+1)=0
Suy ra
| x^2-4=0 | x^2=4 | x= 2 |
| x^2+1=0 | x^2=-1 (Loại) |
Vậy x{2}
Quảng cáo
Bạn muốn hỏi bài tập?
Câu hỏi hot cùng chủ đề
-
103437
-
Hỏi từ APP VIETJACK68807
-
56608
-
47524
-
44249
-
36842
-
35274
Gửi báo cáo thành công!

