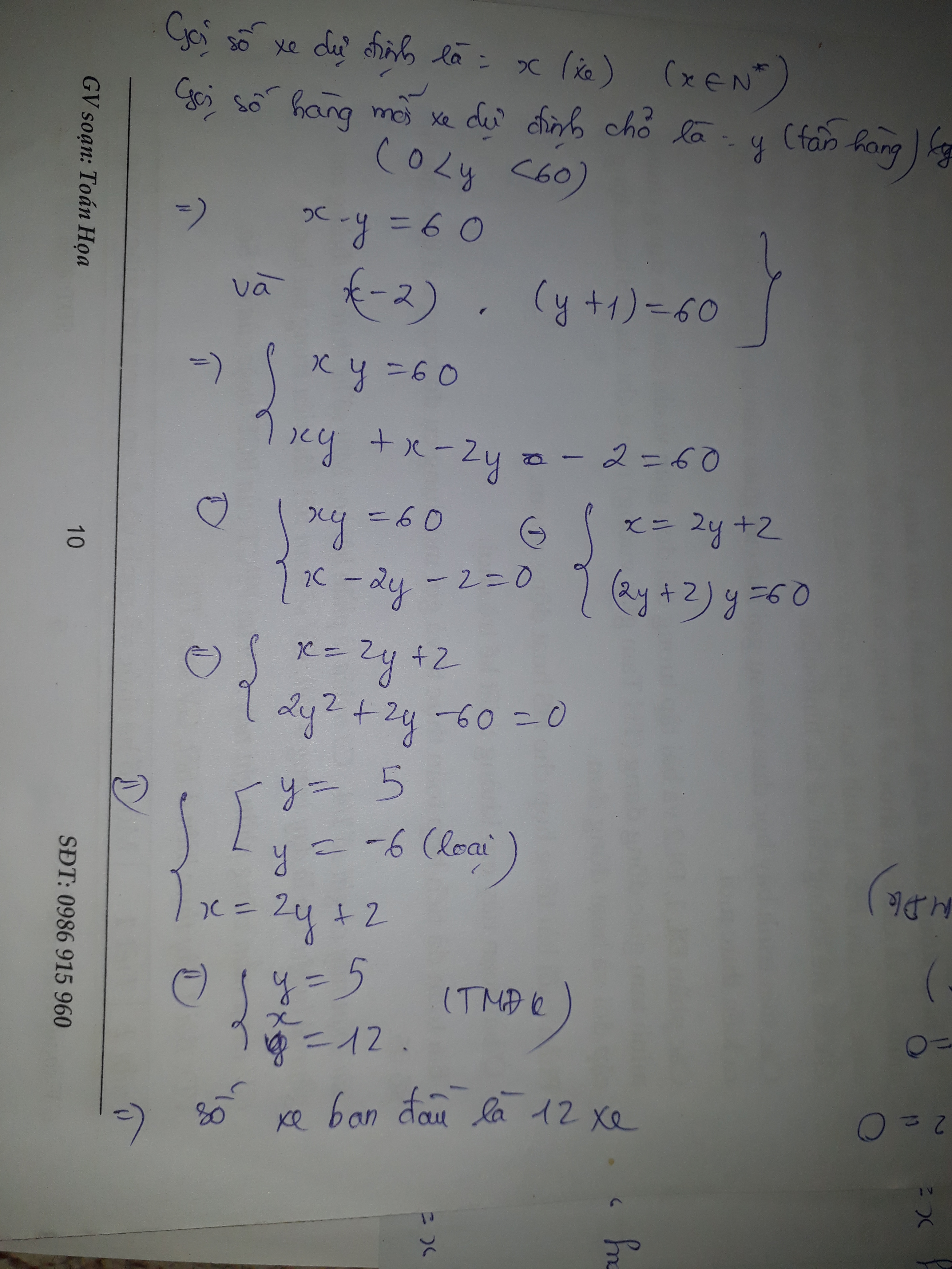
một đội xe dự định một số xe cùng loại để chở hết 60 tấn hàng .khi khởi hành ,có 2 xe phải điều đi nhận hợp đồng khác nên mỗi xe còn lại phải chở thêm 1 tấn hàng .tính số xe lúc đầu mà đội điều động (biết rằng số lượng trên mỗi xe phải chở là như nhau)
Quảng cáo
2 câu trả lời 4488
Quảng cáo
Bạn cần hỏi gì?
Câu hỏi hot cùng chủ đề
-
Đã trả lời bởi chuyên gia
105730 -
Hỏi từ APP VIETJACK
Đã trả lời bởi chuyên gia
70392 -
Đã trả lời bởi chuyên gia
58584 -
Đã trả lời bởi chuyên gia
50482 -
Đã trả lời bởi chuyên gia
48671 -
Đã trả lời bởi chuyên gia
38221 -
Đã trả lời bởi chuyên gia
37994
Gửi báo cáo thành công!


