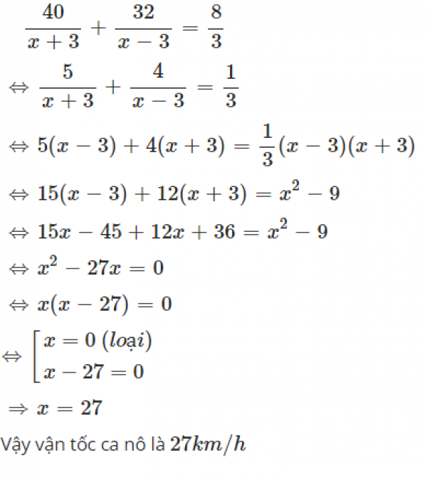
Hai bến sông A và B cách nhau 40 km. Cùng một lúc, một chiếc cano xuôi dòng từ A đến B và 1 chiếc bè cũng trôi từ A đến B vs vận tốc 3 km/h. Sau khi đến B cano quay lại A và gặp chiếc bè tại 1 địa điểm cách B là 32 km. Tính vận tốc của cano.
Quảng cáo
5 câu trả lời 939
Vận tốc của ca nô thứ nhất là:
20 + 2 = 22 (km/giờ)
Vận tốc của ca nô thứ hai là:
20 − 2 = 18 (km/giờ)
Hai ca nô gặp nhau sau khi đi số thời gian là:
32 : (22 + 18) = 0,8 (giờ)
0,8 giờ = 48 phút
Đáp số: 48 phút.
Vận tốc của ca nô thứ nhất là:
20 + 2 = 22 (km/giờ)
Vận tốc của ca nô thứ hai là:
20 − 2 = 18 (km/giờ)
Hai ca nô gặp nhau sau khi đi số thời gian là:
32 : (22 + 18) = 0,8 (giờ)
0,8 giờ = 48 phút
Đáp số: 48 phút.
Quảng cáo
Bạn muốn hỏi bài tập?
Câu hỏi hot cùng chủ đề
-
107278
-
Hỏi từ APP VIETJACK67830
-
44998
-
38171


