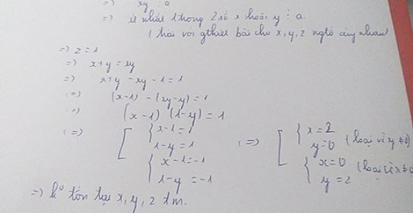
cho x,y,z là ba số nguyên dương nguyên tố cùng nhau thỏa mãn 1/x+1/y=1/z cm x+y là số chính phương
Quảng cáo
2 câu trả lời 4432
5 năm trước

mai văn Anh
· 5 năm trước
em cam on thay
mai văn Anh
· 5 năm trước
em cam on thay
Quảng cáo
Bạn cần hỏi gì?
Câu hỏi hot cùng chủ đề
-
Đã trả lời bởi chuyên gia
103520 -
Hỏi từ APP VIETJACK
Đã trả lời bởi chuyên gia
68861 -
Đã trả lời bởi chuyên gia
56682 -
Đã trả lời bởi chuyên gia
47564 -
Đã trả lời bởi chuyên gia
44351 -
Đã trả lời bởi chuyên gia
36876 -
Đã trả lời bởi chuyên gia
35387
Gửi báo cáo thành công!

