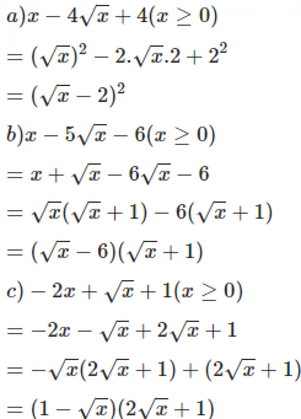
a)x-+4
b)x--6
c)-2x++1
Quảng cáo
1 câu trả lời 519
Quảng cáo
Bạn cần hỏi gì?
Câu hỏi hot cùng chủ đề
-
Đã trả lời bởi chuyên gia
103771 -
Hỏi từ APP VIETJACK
Đã trả lời bởi chuyên gia
68984 -
Đã trả lời bởi chuyên gia
56864 -
Đã trả lời bởi chuyên gia
47673 -
Đã trả lời bởi chuyên gia
44539 -
Đã trả lời bởi chuyên gia
36974 -
Đã trả lời bởi chuyên gia
35600
Gửi báo cáo thành công!

