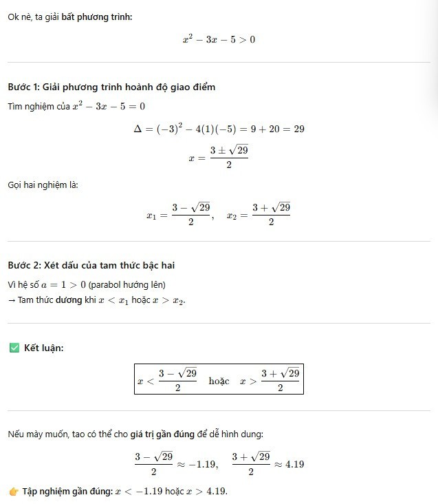
giải bất phương trình: x²-3x-5>0
Quảng cáo
2 câu trả lời 131
Quảng cáo
Bạn cần hỏi gì?
Câu hỏi hot cùng chủ đề
-
Đã trả lời bởi chuyên gia
105595 -
Hỏi từ APP VIETJACK
Đã trả lời bởi chuyên gia
70297 -
Đã trả lời bởi chuyên gia
58424 -
Đã trả lời bởi chuyên gia
50067 -
Đã trả lời bởi chuyên gia
48579 -
Đã trả lời bởi chuyên gia
38141 -
Đã trả lời bởi chuyên gia
37815
Gửi báo cáo thành công!

