Tính :
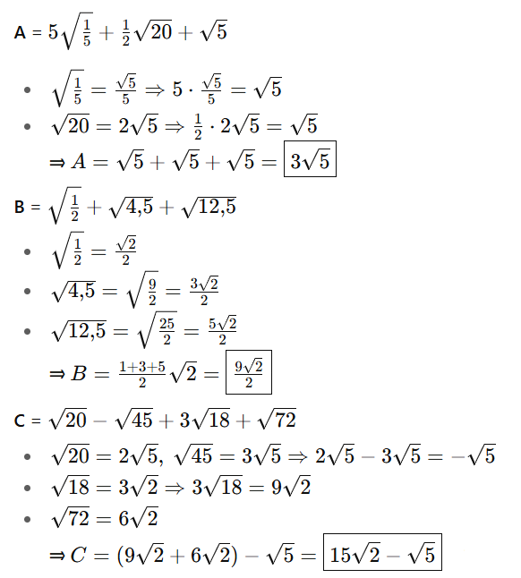
A= 5 1/5 + 1/2 20 + 5
B = 1/2 + 4,5 + 12,5
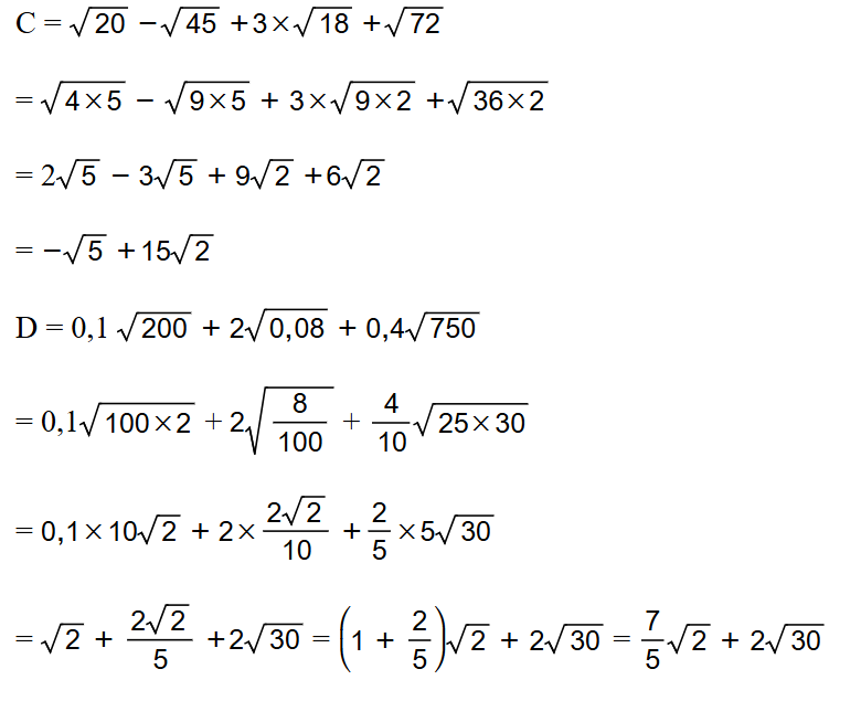
C = 20 - 45 + 3 18 + 72
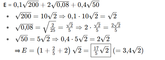
E = 0,1 200 + 2 0,08 + 0,4750
Quảng cáo
4 câu trả lời 297
Tớ gửi
Nốt nè
Để tính các biểu thức A, B, C, E, chúng ta cần đơn giản hóa từng biểu thức bằng cách xử lý các căn thức và thực hiện các phép tính cần thiết. Dưới đây là lời giải chi tiết:
---
### **1. Tính A = 5√(1/5) + (1/2)√20 + √5**
Bước 1: Đơn giản hóa từng thành phần.
- **5√(1/5)**:
\[
\sqrt{\frac{1}{5}} = \frac{\sqrt{1}}{\sqrt{5}} = \frac{1}{\sqrt{5}} = \frac{\sqrt{5}}{5} \quad (\text{sau khi nhân tử và mẫu với } \sqrt{5}).
\]
Do đó:
\[
5 \sqrt{\frac{1}{5}} = 5 \cdot \frac{1}{\sqrt{5}} = \frac{5}{\sqrt{5}} = \sqrt{5} \quad (\text{sau khi nhân tử và mẫu với } \sqrt{5}, \frac{5 \cdot \sqrt{5}}{5} = \sqrt{5}).
\]
- **(1/2)√20**:
\[
\sqrt{20} = \sqrt{4 \cdot 5} = 2\sqrt{5}.
\]
Do đó:
\[
\frac{1}{2} \cdot \sqrt{20} = \frac{1}{2} \cdot 2\sqrt{5} = \sqrt{5}.
\]
- **√5**: Không cần đơn giản hóa.
Bước 2: Cộng các thành phần.
\[
A = \sqrt{5} + \sqrt{5} + \sqrt{5} = 3\sqrt{5}.
\]
**Kết quả: \( A = 3\sqrt{5} \).**
---
### **2. Tính B = √(1/2) + √4.5 + √12.5**
Bước 1: Đơn giản hóa từng thành phần.
- **√(1/2)**:
\[
\sqrt{\frac{1}{2}} = \frac{\sqrt{1}}{\sqrt{2}} = \frac{1}{\sqrt{2}} = \frac{\sqrt{2}}{2}.
\]
- **√4.5**:
\[
4.5 = \frac{9}{2}, \quad \sqrt{4.5} = \sqrt{\frac{9}{2}} = \frac{\sqrt{9}}{\sqrt{2}} = \frac{3}{\sqrt{2}} = \frac{3\sqrt{2}}{2}.
\]
- **√12.5**:
\[
12.5 = \frac{25}{2}, \quad \sqrt{12.5} = \sqrt{\frac{25}{2}} = \frac{\sqrt{25}}{\sqrt{2}} = \frac{5}{\sqrt{2}} = \frac{5\sqrt{2}}{2}.
\]
Bước 2: Cộng các thành phần.
\[
B = \frac{\sqrt{2}}{2} + \frac{3\sqrt{2}}{2} + \frac{5\sqrt{2}}{2} = \frac{\sqrt{2} + 3\sqrt{2} + 5\sqrt{2}}{2} = \frac{9\sqrt{2}}{2}.
\]
**Kết quả: \( B = \frac{9\sqrt{2}}{2} \).**
---
### **3. Tính C = √20 - √45 + 3√18 + √72**
Bước 1: Đơn giản hóa từng thành phần.
- **√20**:
\[
\sqrt{20} = \sqrt{4 \cdot 5} = 2\sqrt{5}.
\]
- **√45**:
\[
\sqrt{45} = \sqrt{9 \cdot 5} = 3\sqrt{5}.
\]
- **3√18**:
\[
\sqrt{18} = \sqrt{9 \cdot 2} = 3\sqrt{2}, \quad 3\sqrt{18} = 3 \cdot 3\sqrt{2} = 9\sqrt{2}.
\]
- **√72**:
\[
\sqrt{72} = \sqrt{36 \cdot 2} = 6\sqrt{2}.
\]
Bước 2: Cộng và trừ các thành phần.
\[
C = 2\sqrt{5} - 3\sqrt{5} + 9\sqrt{2} + 6\sqrt{2}.
\]
Nhóm các số hạng có cùng căn thức:
- Với \(\sqrt{5}\): \(2\sqrt{5} - 3\sqrt{5} = -1\sqrt{5} = -\sqrt{5}\).
- Với \(\sqrt{2}\): \(9\sqrt{2} + 6\sqrt{2} = 15\sqrt{2}\).
Do đó:
\[
C = -\sqrt{5} + 15\sqrt{2}.
\]
**Kết quả: \( C = 15\sqrt{2} - \sqrt{5} \).**
---
### **4. Tính E = 0.1√200 + 2√0.08 + 0.4√50**
Bước 1: Đơn giản hóa từng thành phần.
- **0.1√200**:
\[
\sqrt{200} = \sqrt{100 \cdot 2} = 10\sqrt{2}, \quad 0.1 \cdot \sqrt{200} = 0.1 \cdot 10\sqrt{2} = \sqrt{2}.
\]
- **2√0.08**:
\[
0.08 = \frac{8}{100} = \frac{2}{25}, \quad \sqrt{0.08} = \sqrt{\frac{2}{25}} = \frac{\sqrt{2}}{\sqrt{25}} = \frac{\sqrt{2}}{5}.
\]
Do đó:
\[
2 \cdot \sqrt{0.08} = 2 \cdot \frac{\sqrt{2}}{5} = \frac{2\sqrt{2}}{5}.
\]
- **0.4√50**:
\[
\sqrt{50} = \sqrt{25 \cdot 2} = 5\sqrt{2}, \quad 0.4 \cdot \sqrt{50} = 0.4 \cdot 5\sqrt{2} = 2\sqrt{2}.
\]
Bước 2: Cộng các thành phần.
\[
E = \sqrt{2} + \frac{2\sqrt{2}}{5} + 2\sqrt{2}.
\]
Nhóm các số hạng:
\[
E = \sqrt{2} + \frac{2\sqrt{2}}{5} + 2\sqrt{2} = \left(1 + \frac{2}{5} + 2\right)\sqrt{2} = \left(\frac{5}{5} + \frac{2}{5} + \frac{10}{5}\right)\sqrt{2} = \frac{17}{5}\sqrt{2}.
\]
**Kết quả: \( E = \frac{17}{5}\sqrt{2} \).**
---
### **Kết quả cuối cùng:**
\[
\boxed{
\begin{aligned}
A &= 3\sqrt{5}, \\
B &= \frac{9\sqrt{2}}{2}, \\
C &= 15\sqrt{2} - \sqrt{5}, \\
E &= \frac{17}{5}\sqrt{2}.
\end{aligned}
}
\]
Quảng cáo
Bạn cần hỏi gì?
Câu hỏi hot cùng chủ đề
-
Đã trả lời bởi chuyên gia
105730 -
Hỏi từ APP VIETJACK
Đã trả lời bởi chuyên gia
70392 -
Đã trả lời bởi chuyên gia
58584 -
Đã trả lời bởi chuyên gia
50482 -
Đã trả lời bởi chuyên gia
48671 -
Đã trả lời bởi chuyên gia
38221 -
Đã trả lời bởi chuyên gia
37994

