Bích Hoàng Thị
Hỏi từ APP VIETJACK
Cho (o;R)đi qua ba đỉnh của ∆ABC đều,AO cắt (O) tại điểm thứ hai của D
Quảng cáo
1 câu trả lời 652
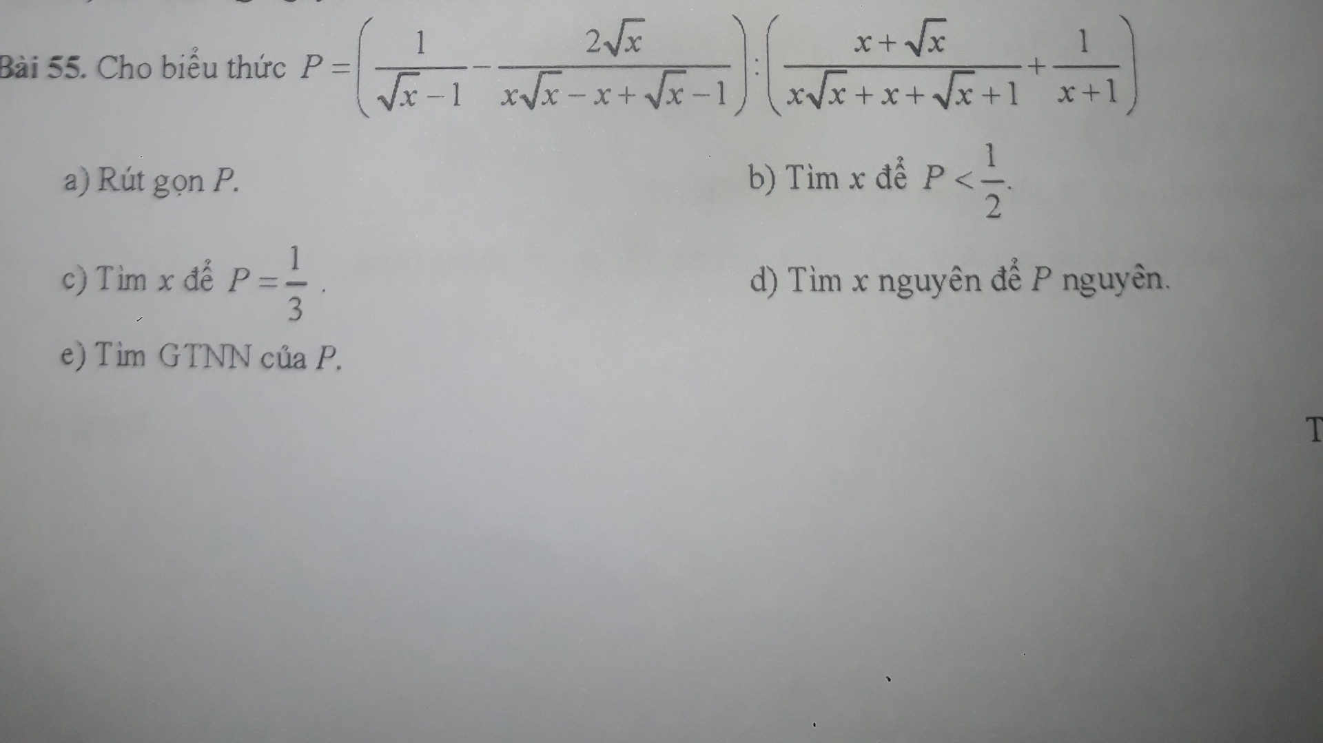
Câu 55 a rút gọn e làm ko đc nhờ sự giúp đỡ của các lão sư
Quảng cáo
Bạn cần hỏi gì?
Câu hỏi hot cùng chủ đề
-
Đã trả lời bởi chuyên gia
105885 -
Hỏi từ APP VIETJACK
Đã trả lời bởi chuyên gia
70506 -
Đã trả lời bởi chuyên gia
58763 -
Đã trả lời bởi chuyên gia
50831 -
Đã trả lời bởi chuyên gia
48770 -
Đã trả lời bởi chuyên gia
38334 -
Đã trả lời bởi chuyên gia
38194
Gửi báo cáo thành công!
