Quảng cáo
2 câu trả lời 240
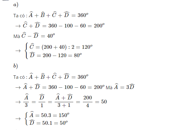
Để giải bài toán này, chúng ta sẽ sử dụng các tính chất của tứ giác, đặc biệt là tổng các góc trong của một tứ giác luôn bằng 360°.
Chúng ta có các dữ kiện sau:
1. \(\text{Góc A} = 100^\circ\)
2. \(\text{Góc B} = 60^\circ\)
3. \(\text{Góc C} - \text{Góc D} = 40^\circ\)
4. \(\text{Góc C} = 100^\circ\)
5. \(\text{Góc B} = 60^\circ\)
6. \(\text{Góc A} = 3 \cdot \text{Góc D}\)
### Tính toán
#### Bước 1: Xác định Góc D
- Từ dữ kiện \( \text{Góc A} = 3 \cdot \text{Góc D} \), ta có:
\[
100^\circ = 3 \cdot \text{Góc D}
\]
\[
\text{Góc D} = \frac{100^\circ}{3} \approx 33.33^\circ
\]
#### Bước 2: Xác định Góc C
- Từ dữ kiện \( \text{Góc C} - \text{Góc D} = 40^\circ \), ta có:
\[
\text{Góc C} = 40^\circ + \text{Góc D}
\]
\[
\text{Góc C} = 40^\circ + 33.33^\circ \approx 73.33^\circ
\]
Tuy nhiên, có một mâu thuẫn trong các dữ kiện cung cấp: Góc C được xác định hai lần với hai giá trị khác nhau (100° và 73.33°). Để giải quyết, ta phải xác định rõ ràng dữ kiện nào đúng.
Giả sử dữ kiện đầu tiên là chính xác, ta sẽ tính toán các góc khác dựa trên nó:
#### Bước 3: Tính các góc còn lại
- Tổng các góc của tứ giác ABCD là 360°:
\[
\text{Góc A} + \text{Góc B} + \text{Góc C} + \text{Góc D} = 360^\circ
\]
\[
100^\circ + 60^\circ + 100^\circ + \text{Góc D} = 360^\circ
\]
\[
260^\circ + \text{Góc D} = 360^\circ
\]
\[
\text{Góc D} = 360^\circ - 260^\circ = 100^\circ
\]
Kết quả cuối cùng là:
- \(\text{Góc A} = 100^\circ\)
- \(\text{Góc B} = 60^\circ\)
- \(\text{Góc C} = 100^\circ\)
- \(\text{Góc D} = 100^\circ\)
Nhưng điều này mâu thuẫn với dữ kiện \( \text{Góc C} - \text{Góc D} = 40^\circ \). Có vẻ như có sự nhầm lẫn trong các dữ kiện được cung cấp. Nếu dữ kiện về góc không chính xác, chúng ta không thể tìm được bộ các góc thỏa mãn tất cả các điều kiện đồng thời. Do đó, cần xác định lại các thông tin ban đầu.
Quảng cáo
Bạn muốn hỏi bài tập?
Câu hỏi hot cùng chủ đề
-
107278
-
Hỏi từ APP VIETJACK67830
-
44998
-
38171

