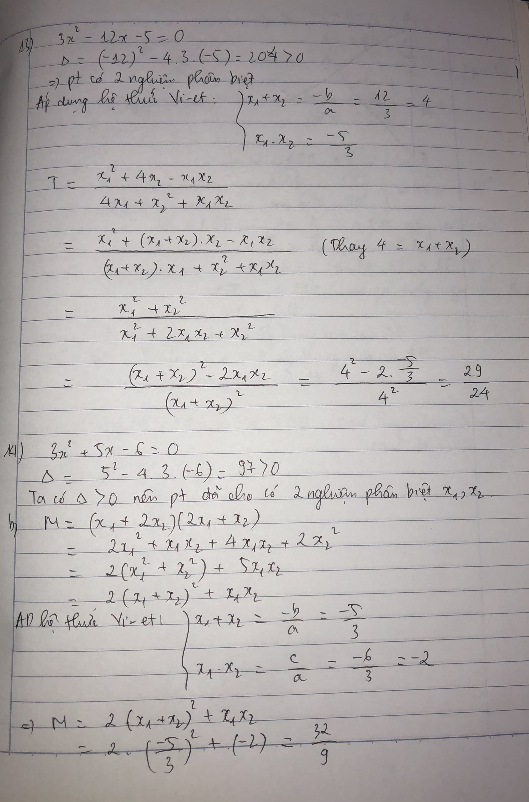
13/ Cho phương trình bậc hai có hai nghiệm Không giải phương trình, hãy tính giá trị biểu thức
14/ Cho phương trình
a) Chứng tỏ phương trình có 2 nghiệm phân biệt
b) Không tìm hãy tính giá trị của biểu thức:
15/ Cho phương trình có 2 nghiệm Không giải phương trình hãy
Quảng cáo
1 câu trả lời 4388
Quảng cáo
Bạn cần hỏi gì?
Câu hỏi hot cùng chủ đề
-
Đã trả lời bởi chuyên gia
105730 -
Hỏi từ APP VIETJACK
Đã trả lời bởi chuyên gia
70392 -
Đã trả lời bởi chuyên gia
58584 -
Đã trả lời bởi chuyên gia
50482 -
Đã trả lời bởi chuyên gia
48671 -
Đã trả lời bởi chuyên gia
38221 -
Đã trả lời bởi chuyên gia
37994
Gửi báo cáo thành công!

