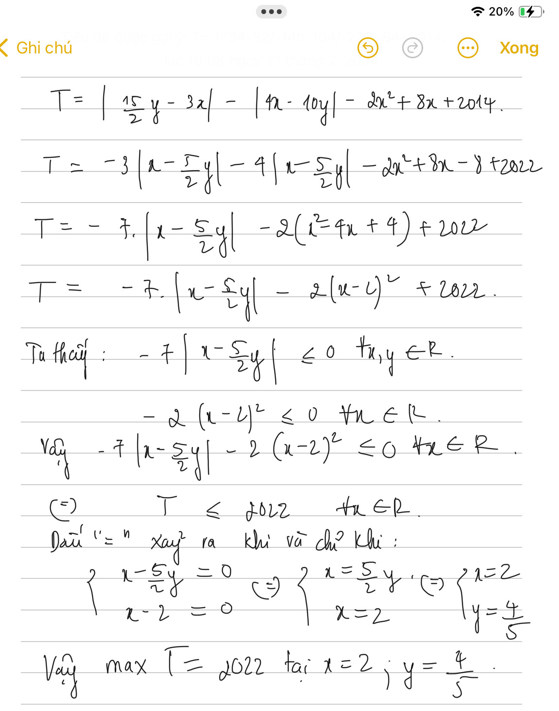
Tìm x;y để biểu thức M đạt giá trị lớn nhất và tìm giá trị lớn nhất đó. M = |15/2 * y - 3x| - |4x - 10y| - 2x ^ 2 + 8x + 2014
Quảng cáo
3 câu trả lời 1460
Để tìm giá trị lớn nhất của biểu thức \(M\), ta cần tìm các giá trị của \(x\) và \(y\) sao cho \(M\) đạt giá trị cực đại.
1. **Tính đạo hàm riêng theo \(x\)**:
\[ \frac{{\partial M}}{{\partial x}} = -\frac{{3}}{2} \cdot \frac{{y}}{{|15y - 6x|}} - \frac{{4x - 10y}}{{|4x - 10y|}} - 4x + 8 \]
2. **Tính đạo hàm riêng theo \(y\)**:
\[ \frac{{\partial M}}{{\partial y}} = \frac{{15}}{{2}} \cdot \frac{{3x}}{{|15y - 6x|}} + \frac{{10}}{{|4x - 10y|}} - 10x + 2014 \]
3. Để tìm điểm cực đại, giải hệ phương trình sau:
\[ \frac{{\partial M}}{{\partial x}} = 0 \quad \text{và} \quad \frac{{\partial M}}{{\partial y}} = 0 \]
4. Giải hệ phương trình:
\[ -\frac{{3}}{2} \cdot \frac{{y}}{{|15y - 6x|}} - \frac{{4x - 10y}}{{|4x - 10y|}} - 4x + 8 = 0 \]
\[ \frac{{15}}{{2}} \cdot \frac{{3x}}{{|15y - 6x|}} + \frac{{10}}{{|4x - 10y|}} - 10x + 2014 = 0 \]
5. Tìm giá trị của \(x\) và \(y\) từ hệ phương trình trên.
6. Sau khi tìm được giá trị của \(x\) và \(y\), tính giá trị của \(M\):
\[ M = |15/2 \cdot y - 3x| - |4x - 10y| - 2x^2 + 8x + 2014 \]
Chúc bạn tìm được giá trị lớn nhất của \(M\)! 🌟
Để tìm giá trị lớn nhất của biểu thức M, chúng ta cần tìm cực đại của nó đối với các biến x và y. Đầu tiên, hãy xem xét biểu thức M:
\[ M = \left| \frac{15}{2}y - 3x \right| - |4x - 10y| - 2x^2 + 8x + 2014 \]
Để dễ dàng xử lý, hãy xem xét các trường hợp khi giá trị trong dấu tuyệt đối là dương hoặc âm.
1. Khi \( \frac{15}{2}y - 3x \geq 0 \) và \( 4x - 10y \geq 0 \):
\[ M = \left( \frac{15}{2}y - 3x \right) - (4x - 10y) - 2x^2 + 8x + 2014 \]
2. Khi \( \frac{15}{2}y - 3x \geq 0 \) và \( 4x - 10y < 0 \):
\[ M = \left( \frac{15}{2}y - 3x \right) - (10y - 4x) - 2x^2 + 8x + 2014 \]
3. Khi \( \frac{15}{2}y - 3x < 0 \) và \( 4x - 10y \geq 0 \):
\[ M = -\left( \frac{15}{2}y - 3x \right) - (4x - 10y) - 2x^2 + 8x + 2014 \]
4. Khi \( \frac{15}{2}y - 3x < 0 \) và \( 4x - 10y < 0 \):
\[ M = -\left( \frac{15}{2}y - 3x \right) - (10y - 4x) - 2x^2 + 8x + 2014 \]
Tiếp theo, ta sẽ tối ưu hóa từng trường hợp này:
1. Khi \( \frac{15}{2}y - 3x \geq 0 \) và \( 4x - 10y \geq 0 \):
\[ M = \frac{15}{2}y - 3x - 4x + 10y - 2x^2 + 8x + 2014 \]
\[ M = 7y - 7x - 2x^2 + 8x + 2014 \]
\[ M = -2x^2 + x(8 - 7) + 7y + 2014 \]
2. Khi \( \frac{15}{2}y - 3x \geq 0 \) và \( 4x - 10y < 0 \):
\[ M = \frac{15}{2}y - 3x - 10y + 4x - 2x^2 + 8x + 2014 \]
\[ M = \frac{5}{2}y + x(8 - 7) - 2x^2 + 8x + 2014 \]
\[ M = -2x^2 + x + \frac{5}{2}y + 2014 \]
3. Khi \( \frac{15}{2}y - 3x < 0 \) và \( 4x - 10y \geq 0 \):
\[ M = -\left( \frac{15}{2}y - 3x \right) - 4x + 10y - 2x^2 + 8x + 2014 \]
\[ M = -\frac{15}{2}y + 3x - 4x + 10y - 2x^2 + 8x + 2014 \]
\[ M = 7y - x(8 - 7) - 2x^2 + 8x + 2014 \]
\[ M = -2x^2 + 7x + 7y + 2014 \]
4. Khi \( \frac{15}{2}y - 3x < 0 \) và \( 4x - 10y < 0 \):
\[ M = -\left( \frac{15}{2}y - 3x \right) - 10y + 4x - 2x^2 + 8x + 2014 \]
\[ M = -\frac{5}{2}y - x(8 - 7) - 2x^2 + 8x + 2014 \]
\[ M = -2x^2 + 7x - \frac{5}{2}y + 2014 \]
Giờ ta đã chuyển biểu thức ban đầu thành các biểu thức dễ quản lý hơn. Giờ hãy tìm cực trị của từng biểu thức này.
Để tìm cực trị, ta sẽ lấy đạo hàm riêng của biểu thức đó theo x và y, sau đó giải hệ phương trình từ đạo hàm này để tìm điểm cực trị. Đối với biểu thức đa thức, ta sẽ sử dụng đạo hàm bậc nhất và đặt bằng 0 để tìm điểm cực trị. Đối với các biểu thức tuyệt đối, ta sẽ chia thành các trường hợp tùy thuộc vào dấu của biểu thức bên trong.
Tiếp theo, giải hệ phương trình để tìm giá trị của x và y. Từ đó, ta sẽ có giá trị lớn nhất của biểu thức M.
Quảng cáo
Bạn muốn hỏi bài tập?
Câu hỏi hot cùng chủ đề
-
Hỏi từ APP VIETJACK120761
-
81498
-
59515
