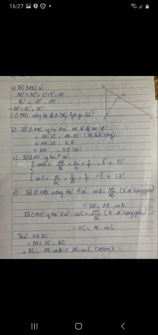
Cho tam giác ABC có AB = 6cm AC = 8cm BC = 10cm
b) Tính độ dài đường cao AH. Tính số đo hai góc B, C của tam giác ABC.
c) Lấy M bất kỳ trên cạnh BC. Kẻ MP vuông góc AB . MQ vuông góc AC Chứng minh PQ = AM
a) Chứng minh tam giác ABC vuông tại A.
b) Tính độ dài đường cao AH. Tính số đo hai góc B, C của tam giác ABC.
c) Lấy M bất kỳ trên cạnh BC. Kẻ MP vuông góc AB . MQ vuông góc AC Chứng minh PQ = AM
a) Chứng minh tam giác ABC vuông tại A.
Quảng cáo
1 câu trả lời 1496
Quảng cáo
Bạn cần hỏi gì?
Câu hỏi hot cùng chủ đề
-
Đã trả lời bởi chuyên gia
105885 -
Hỏi từ APP VIETJACK
Đã trả lời bởi chuyên gia
70506 -
Đã trả lời bởi chuyên gia
58763 -
Đã trả lời bởi chuyên gia
50831 -
Đã trả lời bởi chuyên gia
48770 -
Đã trả lời bởi chuyên gia
38334 -
Đã trả lời bởi chuyên gia
38194
Gửi báo cáo thành công!
