Quảng cáo
3 câu trả lời 346
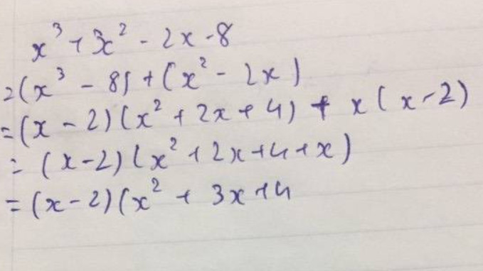
ta có:
Cái nịt
x3+x2−2x−8=(x3−8)+(x2−2x)
=(x−2).(x2+2x+4)+x.(x−2)
=(x−2).(x2+2x+4+x)
=(x−2).(x2+3x+4)
Quảng cáo
Bạn cần hỏi gì?
Câu hỏi hot cùng chủ đề
-
107437
-
Hỏi từ APP VIETJACK
Đã trả lời bởi chuyên gia
68061 -
Đã trả lời bởi chuyên gia
52846 -
Đã trả lời bởi chuyên gia
47344 -
Đã trả lời bởi chuyên gia
45400 -
Đã trả lời bởi chuyên gia
45045 -
Hỏi từ APP VIETJACK
Đã trả lời bởi chuyên gia
38412 -
Đã trả lời bởi chuyên gia
38191
Gửi báo cáo thành công!

