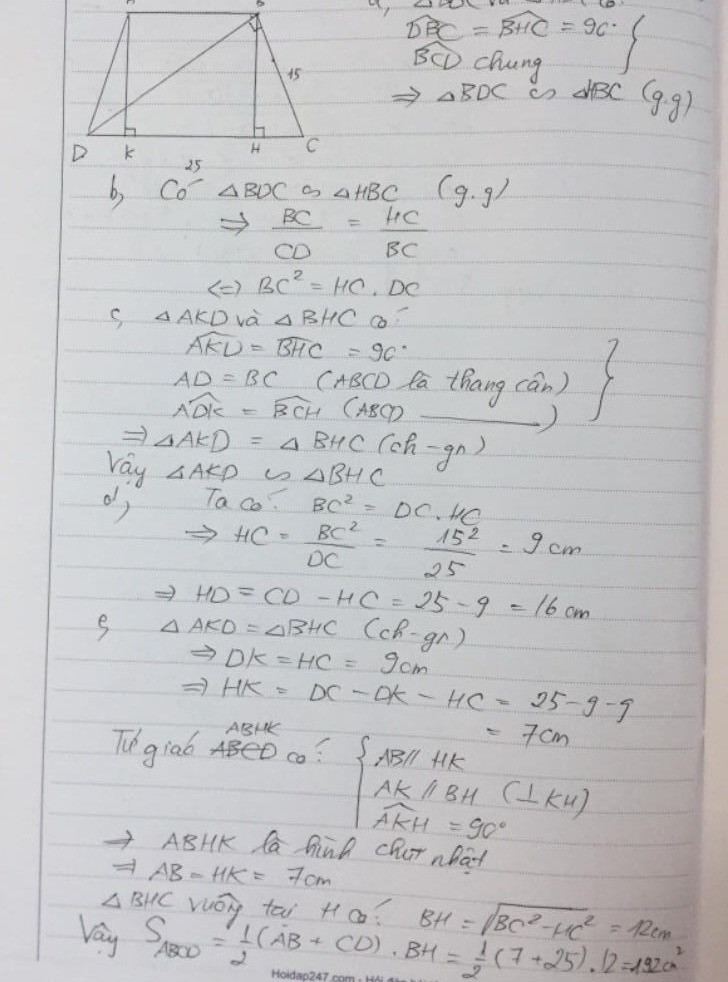
Cho hình thang cân ABCD có AB//DC và AB<DC, đường chéo BD vuông góc với cạnh bên BC. Vẽ đường cao BH, AK
a) Chứng minh ΔBDC đồng dạng ΔHBC
b) Chứng minh BC² = HC.DC
c) Chừng minh ΔAKD đồng dạng ΔBHC
d)Cho BC=15cm, DC=25cm. Tính HC, HD
e) Tính diện tích hình thang ABCD
Quảng cáo
2 câu trả lời 1433
3 năm trước
Cao Mạnh Cường
· 3 năm trước
bạn cho mình hỏi là câu e ở đâu ạ, ns xong mình vote 5 sao luôn nha
☯nadttg,rudde de☯
· 3 năm trước
e ngay trên cùng
Cao Mạnh Cường
· 3 năm trước
bạn chỉ cho mình được khum, mình ko thấy ạ
☯nadttg,rudde de☯
· 3 năm trước
thui lần sau
Quảng cáo
Bạn muốn hỏi bài tập?
Câu hỏi hot cùng chủ đề
-
4043
Gửi báo cáo thành công!

