Nhgia Hoang
Hỏi từ APP VIETJACK
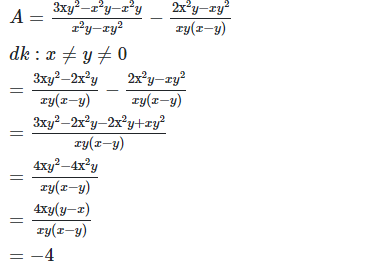
rút gọn biểu thức A=3xy^2-x^2y-x^2y/x^2y-xy^2 - 2x^2y-xy^2/xy×(x-y)
Quảng cáo
4 câu trả lời 955
..
tra pham
· 2 năm trước
giup minh voi
tra pham
· 2 năm trước
B=x/x^2-5x+6-2/2-x+x/x-3
Quảng cáo
Bạn muốn hỏi bài tập?
Câu hỏi hot cùng chủ đề
-
107278
-
Hỏi từ APP VIETJACK67830
-
44998
-
38171
Gửi báo cáo thành công!
