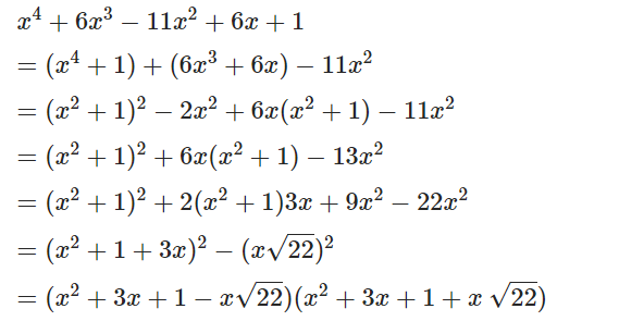
X^4+6x^3-11x^2+6x+1
Quảng cáo
1 câu trả lời 1724
Quảng cáo
Bạn cần hỏi gì?
Câu hỏi hot cùng chủ đề
-
112247
-
Hỏi từ APP VIETJACK
Đã trả lời bởi chuyên gia
72846 -
Đã trả lời bởi chuyên gia
54086 -
Đã trả lời bởi chuyên gia
48368 -
Đã trả lời bởi chuyên gia
47281 -
Đã trả lời bởi chuyên gia
46585 -
Hỏi từ APP VIETJACK
Đã trả lời bởi chuyên gia
41265 -
Đã trả lời bởi chuyên gia
39282
Gửi báo cáo thành công!

.