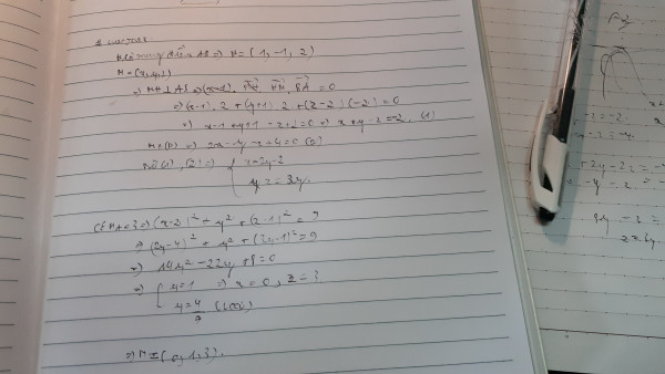
Cho (P): 2x-y-z+4=0 và A(2;0;1), B(0;-2;3). Gọi M là điểm có tọa độ nguyên thuộc mặt phẳng (P) sao cho MA=MB=3. Tìm tọa độ của điểm M . lời giải chi tiết ạ
Quảng cáo
1 câu trả lời 847
Quảng cáo
Bạn cần hỏi gì?
Câu hỏi hot cùng chủ đề
-
Hỏi từ APP VIETJACK
Đã trả lời bởi chuyên gia
130114 -
Đã trả lời bởi chuyên gia
104668 -
Đã trả lời bởi chuyên gia
94564 -
Đã trả lời bởi chuyên gia
71848
Gửi báo cáo thành công!


