Khai triển hằng đẳng thức sau:x²-4= ;4x²-4=;
Quảng cáo
1 câu trả lời 3761
Khai triển các hằng đẳng thức
1. Khai triển
Ta có:
![]()
Dạng này là một hằng đẳng thức **hiệu hai bình phương**, có công thức:
![]()
Trong trường hợp này:
![]()
Thay vào công thức, ta được:
![]()
2. Khai triển 4x2 - 4
Ta có:
![]()
Ta tiếp tục nhận thấy x2 - 1 là một hằng đẳng thức hiệu hai bình phương:
![]()
Do đó:
![]()
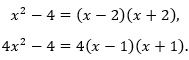
3. Kết luận
Khai triển các hằng đẳng thức như sau:

Quảng cáo
Bạn cần hỏi gì?
Câu hỏi hot cùng chủ đề
-
112603
-
Hỏi từ APP VIETJACK
Đã trả lời bởi chuyên gia
73212 -
Đã trả lời bởi chuyên gia
54205 -
Đã trả lời bởi chuyên gia
48459 -
Đã trả lời bởi chuyên gia
47481 -
Đã trả lời bởi chuyên gia
46692 -
Hỏi từ APP VIETJACK
Đã trả lời bởi chuyên gia
41390 -
Đã trả lời bởi chuyên gia
39381
Gửi báo cáo thành công!
