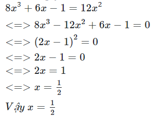
8x³+6x-1=12x²
Quảng cáo
1 câu trả lời 407
Quảng cáo
Bạn cần hỏi gì?
Câu hỏi hot cùng chủ đề
-
112603
-
Hỏi từ APP VIETJACK
Đã trả lời bởi chuyên gia
73212 -
Đã trả lời bởi chuyên gia
54205 -
Đã trả lời bởi chuyên gia
48459 -
Đã trả lời bởi chuyên gia
47481 -
Đã trả lời bởi chuyên gia
46692 -
Hỏi từ APP VIETJACK
Đã trả lời bởi chuyên gia
41390 -
Đã trả lời bởi chuyên gia
39381
Gửi báo cáo thành công!

.