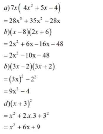
Bài 1: Tính
a) 7x( 4x2 + 5x - 4) b) ( x - 8 ) ( 2x + 6 )
b) ( 3x - 2)(3x + 2) d) ( x + 3)2
Bài 2 : Tìm x biết
a) 8(3 - x ) – 3( x - 4 ) = 8
Quảng cáo
2 câu trả lời 521
4 năm trước
Quảng cáo
Bạn muốn hỏi bài tập?
Câu hỏi hot cùng chủ đề
-
12614
-
11323
-
9277
-
5617
Gửi báo cáo thành công!


