Kim Anh Đặng
Hỏi từ APP VIETJACK
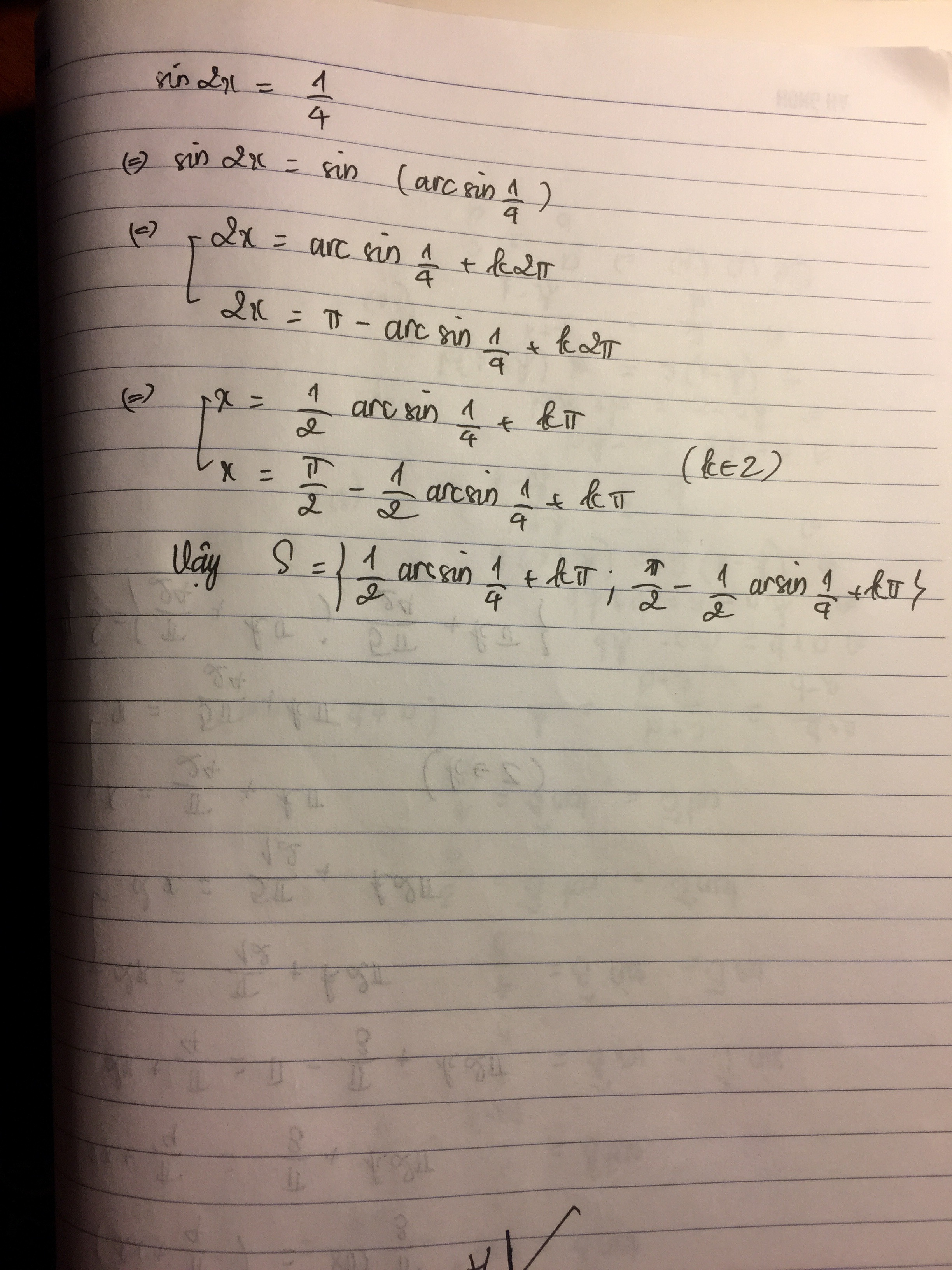
Giải phương trình : Sin 2 x = 1/4
Quảng cáo
2 câu trả lời 5181
Quảng cáo
Bạn muốn hỏi bài tập?
Câu hỏi hot cùng chủ đề
Gửi báo cáo thành công!

