Nguyễn AnhThư
Hỏi từ APP VIETJACK
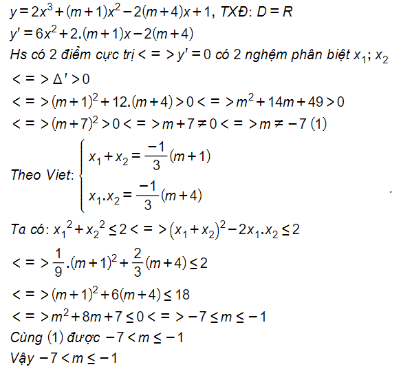
y=2x^3+(m+1)x^2-2(m+4)x+1 có 2 điểm cực trị x1,x2 thỏa mãnx1^2+x2^2 <=2
Quảng cáo
1 câu trả lời 2810
Quảng cáo
Bạn muốn hỏi bài tập?
Câu hỏi hot cùng chủ đề
Gửi báo cáo thành công!

.