Quảng cáo
3 câu trả lời 540
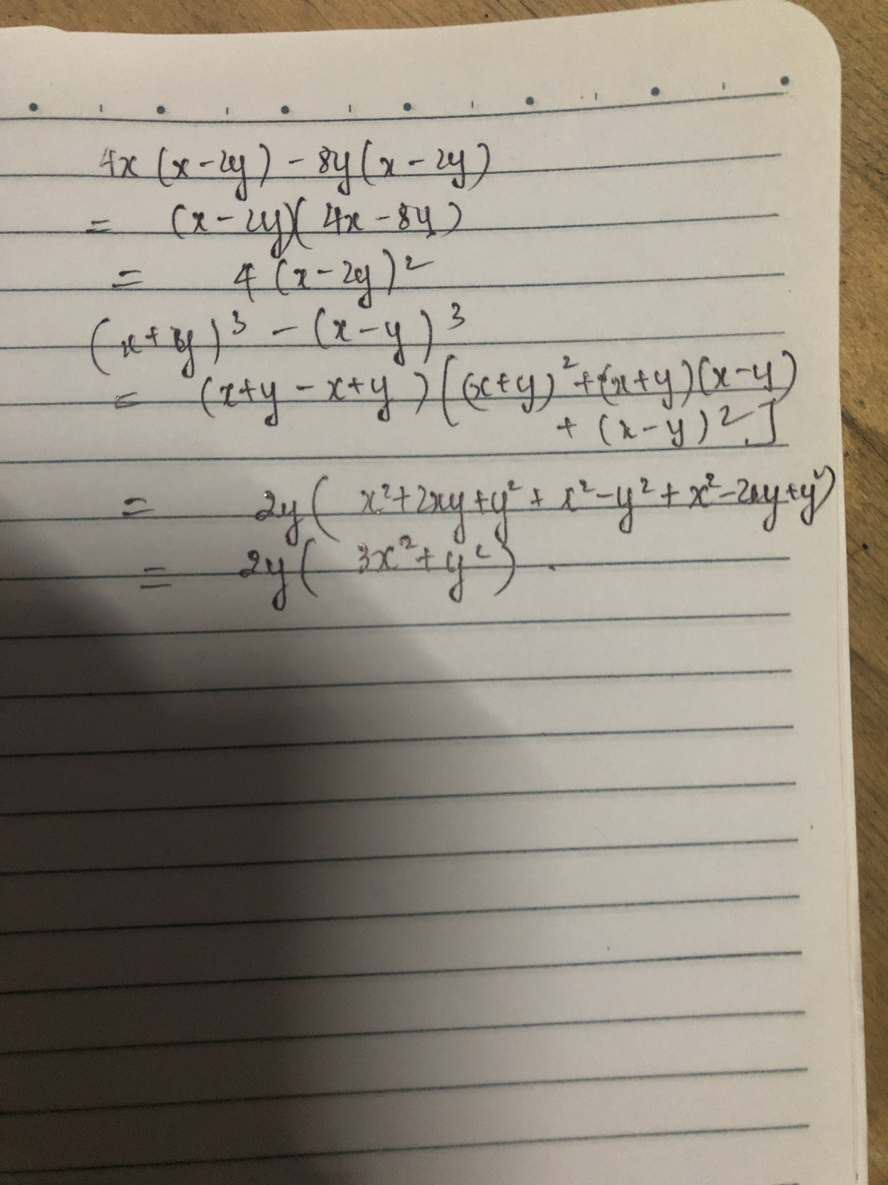
a) 4x(x-2y)- 8y(x-2y)
= (4x-8y)(x-2y)
b) (x+y)^3-(x-y)^3
= x^3+3x^2.y+3xy^2+y^3-(x^3-3x^2.y+3xy^2-y^3)
=x^3+3x^2.y+3xy^2+y^3-x^3+3x^2.y-3xy^2+y^3
=6x^2.y+2y^3
Quảng cáo
Bạn cần hỏi gì?
Câu hỏi hot cùng chủ đề
-
107437
-
Hỏi từ APP VIETJACK
Đã trả lời bởi chuyên gia
68061 -
Đã trả lời bởi chuyên gia
52846 -
Đã trả lời bởi chuyên gia
47344 -
Đã trả lời bởi chuyên gia
45400 -
Đã trả lời bởi chuyên gia
45045 -
Hỏi từ APP VIETJACK
Đã trả lời bởi chuyên gia
38412 -
Đã trả lời bởi chuyên gia
38191
Gửi báo cáo thành công!

