Trang Doan
Hỏi từ APP VIETJACK
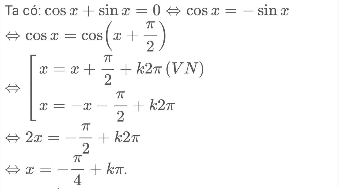
Nghiệm của pt cosx + sinx =0 là
Quảng cáo
3 câu trả lời 2129
4 năm trước
<=>√2sin(x+π4)=0<=>sin(x+π4)=0<=>x+π4=kπ, k∈Z<=>x=−π4+kπ, k∈ZVậy x=−π4+kπ, k∈Z
Quảng cáo
Bạn muốn hỏi bài tập?
Câu hỏi hot cùng chủ đề
Gửi báo cáo thành công!

