Ngoc Anh Hoang
Hỏi từ APP VIETJACK
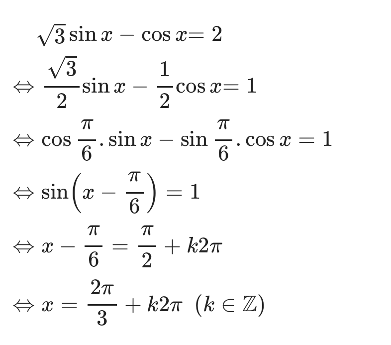
Giải pt bậc nhất:
Căn3 sin x - cos x =2
Quảng cáo
2 câu trả lời 2114
Quảng cáo
Bạn muốn hỏi bài tập?
Câu hỏi hot cùng chủ đề
Gửi báo cáo thành công!

