Quảng cáo
2 câu trả lời 4352
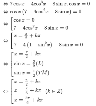
\[\begin{array}{l}
4co{s^3}x + 4sin2x = 7cosx\\
\Leftrightarrow 7\cos x - 4co{s^3}x - 4sin2x = 0
\end{array}\]

Vậy nghiệm pt là \[S = \{ \frac{\pi }{2} + k\pi ;\frac{\pi }{6} + k\pi ;\frac{{5\pi }}{6} + k\pi \} \]
Quảng cáo
Bạn cần hỏi gì?
Câu hỏi hot cùng chủ đề
-
Đã trả lời bởi chuyên gia
134838 -
Hỏi từ APP VIETJACK
Đã trả lời bởi chuyên gia
75920 -
Đã trả lời bởi chuyên gia
71641 -
Đã trả lời bởi chuyên gia
47575
Gửi báo cáo thành công!
