Danh Nguyễn
Hỏi từ APP VIETJACK
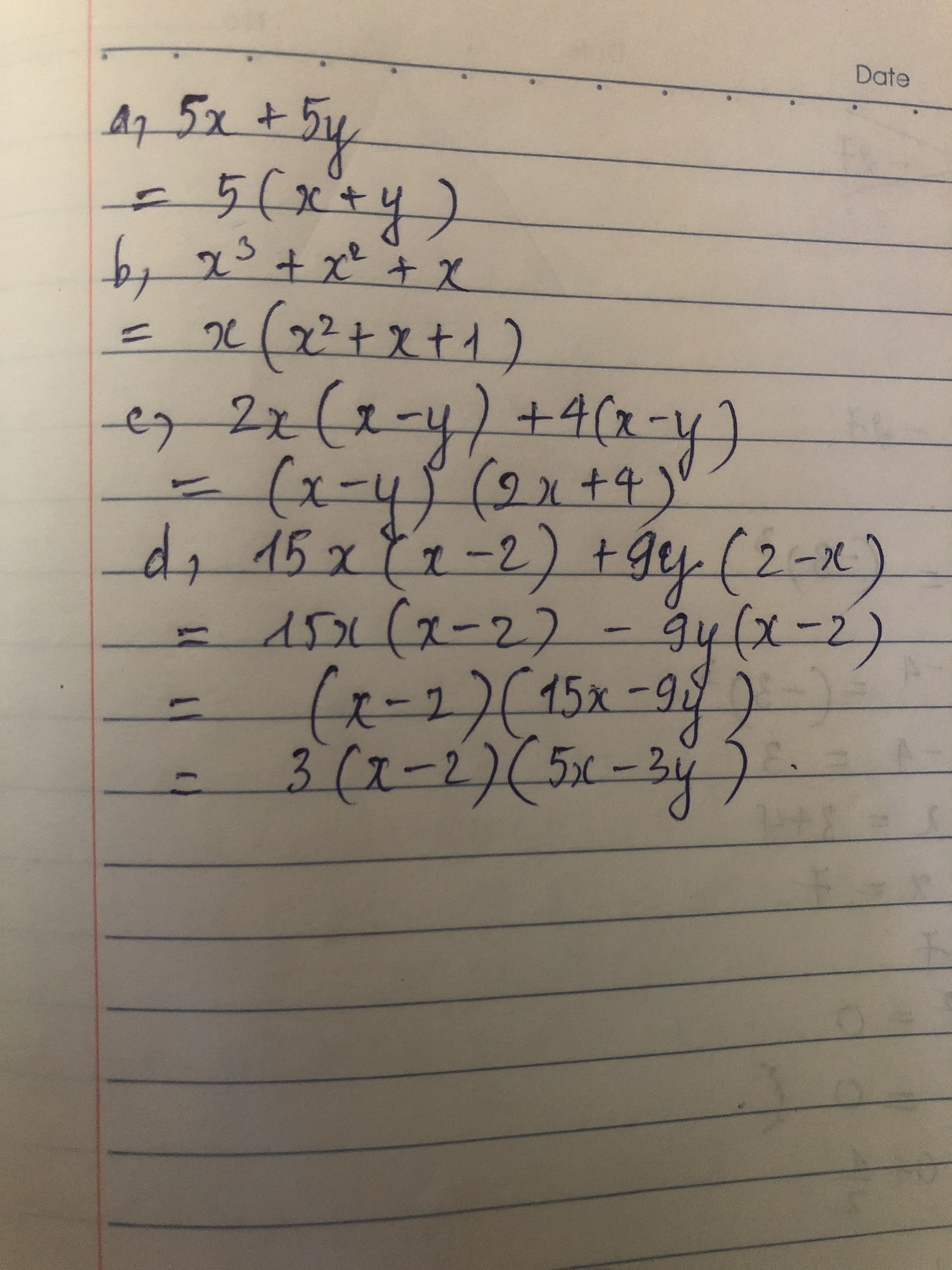
Phân tích đa thức sau thành nhân tử:
a)5x+5y
b)x^3+x^2+x
c)2x(x-y)+4(x-y)
d)15x(x-2)+9y(2-x)
Quảng cáo
4 câu trả lời 1651
: a)5x+5y =5(x+y)
b)x^3+x^2+x= x(x^2+x+1)
c,2x(x-y)+4(x-y)= 2(x-y)(x+2)
d,15x(x-2)+9y(2-x)= 3(x-2)(5x-3y)
4 năm trước
: a)5x+5y =5(x+y)
b)x^3+x^2+x= x(x^2+x+1)
c,2x(x-y)+4(x-y)= 2(x-y)(x+2)
d,15x(x-2)+9y(2-x)= 3(x-2)(5x-3y)
Quảng cáo
Bạn muốn hỏi bài tập?
Câu hỏi hot cùng chủ đề
-
107278
-
Hỏi từ APP VIETJACK67830
-
44998
-
38171
Gửi báo cáo thành công!

