Quảng cáo
1 câu trả lời 410
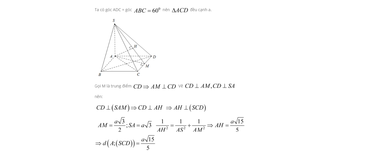
bai lam


long baby
· 4 năm trước
chị có thể chứng minh giúp em cái góc hợp bởi sbc vs abcd ko ạ
long baby
· 4 năm trước
với góc abc = 60 là góc b bằng 60 ạ
Quảng cáo
Bạn cần hỏi gì?
Câu hỏi hot cùng chủ đề
-
Hỏi từ APP VIETJACK
Đã trả lời bởi chuyên gia
129652 -
Đã trả lời bởi chuyên gia
104087 -
Đã trả lời bởi chuyên gia
94063 -
Đã trả lời bởi chuyên gia
69340
Gửi báo cáo thành công!

