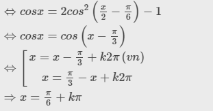
cosx+1=2cos^2(x/2-pi/6)
ngô anh huy
· 4 năm trước
mội người giúp em giải bài này với ạ
Quảng cáo
2 câu trả lời 1057
Quảng cáo
Bạn muốn hỏi bài tập?
Câu hỏi hot cùng chủ đề
Gửi báo cáo thành công!

