layla Nguyễn
Hỏi từ APP VIETJACK
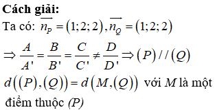
Trong không gian oxyz khoảng cách giữa 2 mp (p):c+2y+2z-10=0 và (Q): x+2y+2z-3=0 bằng?
Quảng cáo
4 câu trả lời 476
Lấy điểm M(0;0;5)∈(P)M(0;0;5)∈(P).
Do (P)//(Q) nên d((P),(Q))=d(M,(Q))=|xM+2yM+2zM−3|/(12+22+22)=73
Quảng cáo
Bạn muốn hỏi bài tập?
Câu hỏi hot cùng chủ đề
Gửi báo cáo thành công!




