Trên đg tròn bán kính r=15,độ dài của cung có số đo 50 độ là
A. l=750
B. l=15.180/pi
C. l=15pi/180
D. l=15.pi/180.50
Quảng cáo
1 câu trả lời 42145
5 năm trước
Giải chi tiết:
Bước 1: Công thức tính độ dài cung tròn
Độ dài cung l của một cung tròn được tính bằng công thức:
![]()
trong đó:
- r: bán kính đường tròn,
- : số đo cung tính bằng radian.
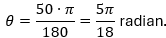
Bước 2: Chuyển đổi số đo góc từ độ sang radian
Số đo 50o được chuyển đổi sang radian bằng công thức:
![]()
Với số đo cung theo độ = 50o, ta có:
![]()
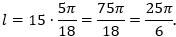
Bước 3: Tính độ dài cung
Áp dụng công thức:
![]()
Thay r = 15 và
:
![]()
Bước 4: So sánh với đáp án
- Đáp án A: l = 750: Sai, vì không đúng theo công thức.
- Đáp án B:
: Sai, vì đây không phải công thức độ dài cung. - Đáp án C:
: Sai, vì chưa nhân với (góc cung). - Đáp án D:
: Đúng, vì công thức này chính xác theo cách tính.
Kết luận:
Độ dài cung là:
![]()
Đáp án: D.
Quảng cáo
Bạn cần hỏi gì?
Câu hỏi hot cùng chủ đề
-
Đã trả lời bởi chuyên gia
89037 -
Đã trả lời bởi chuyên gia
59731 -
Hỏi từ APP VIETJACK
Đã trả lời bởi chuyên gia
58851 -
Đã trả lời bởi chuyên gia
50834 -
Hỏi từ APP VIETJACK
Đã trả lời bởi chuyên gia
48266 -
Đã trả lời bởi chuyên gia
38581
Gửi báo cáo thành công!
