Giải phương trình sau :
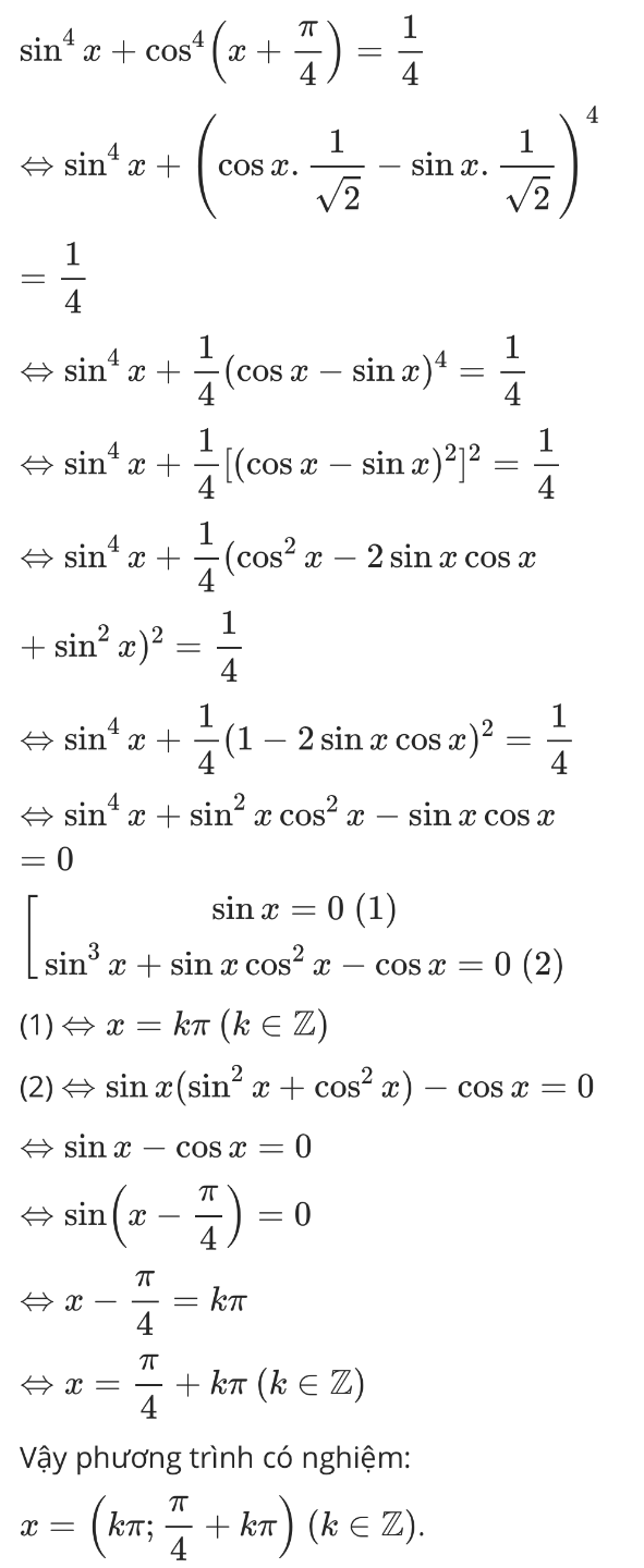
Sin^4x + cos^4( x + π/4 ) = 1/4
Quảng cáo
2 câu trả lời 8066
Quảng cáo
Bạn cần hỏi gì?
Câu hỏi hot cùng chủ đề
-
Đã trả lời bởi chuyên gia
135672 -
Hỏi từ APP VIETJACK
Đã trả lời bởi chuyên gia
76745 -
Đã trả lời bởi chuyên gia
72403 -
Đã trả lời bởi chuyên gia
47906
Gửi báo cáo thành công!



